主子式

主子式

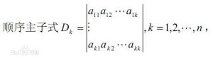
主子式(Leadingminor)n階行列式的i階主子式為:在n階行列式中,選取行號(如1、3、7行),再選取相同行號的列號(1、3、7列),則有行和列都為i個的行列式即為n階行列式的i階主子式,也可以說由上述選取的行列交匯處的元素所組成的新的行列式就稱為“n階行列式的一個i階主子式”。特殊的:n階行列式的i階順序主子式:上述i階主子式中定義中,由1—i行和1—i列所確定的子式即為“n階行列式的i階順序主子式”。例如:1階時:取第1行,第1列2階時:取第1、2行,第1、2列3階時:取第1、2、3行,第1、2、3列4階時:取第1、2、3、4行,第1、2、3、4列實際上,主子式的主對角線元素是原n階行列式的主對角線元素的一部分,且順序相同。值得注意的是,根據定義,i階主子式是不唯一的,而i階順序主子式是唯一的。

n 階行列式的 i 階主子式為:
在n 階行列式中,任選 i 行(假設 i=3 階,選取1、3、7行時),再選取相同行號的列(1、3、7 列),
由上述選取的行列交匯處的元素所組成的新的行列式就稱為“n 階行列式的一個 i 階主子式”。
特殊的:n 階行列式的 i 階順序主子式
上述 i 階主子式中定義中,由1—i 行和1—i 列所確定的子式即為“n 階行列式的i 階順序主子式”。
例如:
1階時:取第1行,第1列
2階時:取第1、2行,第1、2列
3階時:取第1、2、3行,第1、2、3列
4階時:取第1、2、3、4行,第1、2、3、4列
實際上,主子式的主對角線元素是原n階行列式的主對角線元素的一部分,且順序相同。
值得注意的是,根據定義,i 階主子式是不唯一的,而i 階順序主子式是唯一的。
主子式主子式

相關搜尋

熱門詞條

聯絡我們