定義
酚酞是一種弱有機酸,在pH<8.2的溶液里為無色的內酯式結構,當pH>8.2時為紅色的醌式結構。酚酞的變色範圍是8.2~10.0,所以酚酞只能檢驗鹼而不能檢驗酸。酚酞在酸性和中性條件下均為無色 。
中性酚酞是將常用酚酞溶液滴定至中性,pH值為8.0時的酚酞溶液,常被用作酸價的測定,可以避免因指示劑的酸鹼性而影響檢測結果的精確性。
配製方法
配製中性酚酞的方法為:稱取1g的酚酞,加入100mL的95%乙醇並攪拌至完全溶解,用(3g/L)氫氧化鉀溶液滴至微紅色,此時酚酞指示液呈中性,PH值為8左右 。
用途
酸價的測定用酸鹼指示劑
1.酸價的測定用酸鹼指示劑
取一個乾淨的250mL的錐形瓶,按要求用天平稱取製備的油脂試樣,其質量m 單位為克 。 加 入 乙 醚 - 異 丙 醇 混 合 液 50 m L ~ 100 m L 和 3 滴 ~ 4 滴 的 酚 酞 指 示 劑 ,充 分 振 搖 溶 解 試 樣 。 再 用 裝有 標 準 滴 定 溶 液 的 刻 度 滴 定 管 對 試 樣 溶 液 進 行 手 工 滴 定 , 當 試 樣 溶 液 初 現 微 紅 色 , 且 1 5 s 內 無明顯褪色時,為滴定的終點。立刻停止滴定,記錄下此滴定所消耗的標準滴定溶液的毫升數,此數值為V。
對於深色澤的油脂樣品,可用百里香酚酞指示劑或鹼性藍6B指示劑取代酚酞指示劑,滴定時,當顏色變為藍色時為百里香酚酞的滴定終點,鹼性藍6B指示劑的滴定終點為由藍色變紅色。米糠油(稻米油)的冷溶劑指示劑法測定酸價只能用鹼性藍6B指示劑。
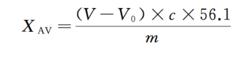
酸 價 (又 稱 酸 值 ) 計 算 :
中性酚酞(1)……………………………………………………………………………
(1)式中:
V ——— 試 樣 測 定 所 消 耗 的 標 準 滴 定 溶 液 的 體 積 ,單 位 為 毫 升 (m L );
X AV ——— 酸 價 ,單 位 為 毫 克 每 克 (mg/g);
V 0 ——— 相 應 的 空 白 測 定 所 消 耗 的 標 準 滴 定 溶 液 的 體 積 ,單 位 為 毫 升 (m L );
c ——— 標 準 滴 定 溶 液 的 摩 爾 濃 度 ,單 位 為 摩 爾 每 升 (mol/L);
5 6 .1 — — — 氫 氧 化 鉀 的 摩 爾 質 量 , 單 位 為 克 每 摩 爾 ( g / m o l ) ;
m ——— 油 脂 樣 品 的 稱 樣 量 ,單 位 為 克 (g)。
酸 價 ≤1 mg/g,計 算 結 果 保 留 2 位 小 數 ;1 mg/g< 酸 價 ≤100 mg/g,計 算 結 果 保 留 1 位 小 數 ;酸價 >100 mg/g,計 算 結 果 保 留 至 整 數 位 。
2. 其他特殊要求中的酸鹼指示劑

