定義
下調和函式
下調和函式
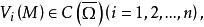
下調和函式定義一:設函式 在 上連續,則對 ,可以定義一個連續函式
下調和函式
下調和函式
下調和函式
下調和函式
下調和函式即函式 在 上連續,在球 B外部及邊界 上等於 ,在球 B內是 調和函式。
下調和函式
下調和函式
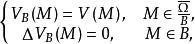
下調和函式定義二:設 在區域 上連續,如果對 ,有
下調和函式
下調和函式
下調和函式
下調和函式則稱 為 上的上調和函式,簡稱 上調和函式;如果對 ,有
下調和函式
下調和函式
下調和函式則稱 為 上的下調和函式,簡稱 下調和函式。
下調和函式
下調和函式
下調和函式
下調和函式定義三:設函式 在 上連續,如果 上的上調和函式 均滿足
下調和函式
下調和函式
下調和函式
下調和函式
下調和函式則稱 是 的一個 上函式;如果 上的下調和函式 均滿足
下調和函式
下調和函式
下調和函式則稱是的一個 下函式。
相關性質
性質1
下調和函式
下調和函式
下調和函式
下調和函式設函式 在 上連續,在 內是調和函式,則 既是上調和函式也是下調和函式。
性質2
下調和函式
下調和函式設 是上(或下)調和函式,則 是下(或上)調和函式。
性質3
下調和函式
下調和函式
下調和函式設 與 都是上(或下)調和函式,則 也是上(或下)調和函式。
性質4
下調和函式
下調和函式
下調和函式
下調和函式設 為 上的上(或下)調和函式,則除 恆等於常數外,它只能在邊界 上取到最小值(或最大值)。
利用上調和函式與下調和函式的定義,容易證明性質1到4。
性質5
下調和函式設 都是上調和函式,則函式
下調和函式也是上調和函式。
下調和函式
下調和函式證明:由 易知, 。
下調和函式
下調和函式
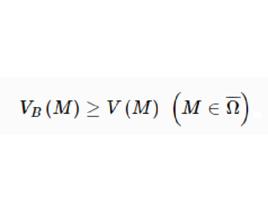
下調和函式另一方面,對 ,由 定義可知,對 ,有
下調和函式
下調和函式並對 ,有
下調和函式
下調和函式
下調和函式故由 ,並根據極值原理可知,對有
下調和函式
下調和函式
下調和函式綜上可知, ,且對 ,有
下調和函式
下調和函式
下調和函式即 為 上的上調和函式。
性質6
下調和函式
下調和函式
下調和函式設 為 上的上調和函式,則 也是上調和函式。
性質7
下調和函式
下調和函式
下調和函式
下調和函式
下調和函式設函式 在 的邊界 上連續,則 的任意一個上函式都不小 任意一個下函式。
下調和函式
下調和函式
下調和函式
下調和函式
下調和函式證明: 設是的任意一個上函式,是的任意一個下函式,則對,有
下調和函式
下調和函式
下調和函式
下調和函式
下調和函式
下調和函式並由性質2及性質3可知,是上的上調和函式,故由性質4可知,在上取最小值,即對,有
下調和函式
下調和函式
下調和函式
下調和函式
下調和函式從而在內,不小於。即對有
下調和函式性質8
下調和函式
下調和函式設 都是 的上函式,則函式
下調和函式
下調和函式也是的上函式。
性質9
下調和函式
下調和函式
下調和函式
下調和函式設 是 的上函式,則函式 也是 的上函式。

