次調和函式
內的實連續函式,Z。 內的任意一點,存在鄰域B(Z。 ,則稱u(z)為區域D內的次調和函式(或稱下調和函式).
定義
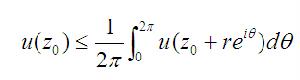
設u(z)為區域 D 內的實連續函式,Z。是 D 內的任意一點,存在鄰域B(Z。,δ) ,當0<r<δ 時成立不等式
,則稱u(z)為區域D內的次調和函式(或稱
下調
和函式).
熱門詞條
1028
Intel HD Graphics
pd
TRUE
切膚之愛
噴水
國家劇院
塞車
大腿圍
小說5200
手工香皂
求婚事務所
白石茉莉奈
綠箭俠
罪與罰與贖的少女
肖恩·約翰遜
肝硬化
肯尼
趙正治
進擊的巨人 ATTACK ON TITAN
雜糧麵包
雪梨科技大學
鳥嘴山
鵑
Havoc
obtain
ohmygirl
psi
speck
when
偷天
利率
君臨臣下之青衫依舊
喬伊
在水一方
平均餘命
幸福快遞
廷
徐曉晰
晚餐食譜
林良樂
蛇戒
蜜雪兒
這天
OFFERMANN
rail
希望online
愛人醉落去
蜜糖土司
豹紋蛋糕
鍾順琴
高雄市文化中心