定義
單位時間內單位面積上滲入土壤中的水量,稱為下滲率或下滲強度。水在土壤分子力、毛管力和重力作用下從地表滲入地下的運動。分子力和毛管力隨著土壤水分增大而減小,當水分充滿毛管孔隙而達到飽和時,下滲主要是在重力作用下進行。影響下滲的因素有:降雨強度、地面植被度和植被種類、土壤物理特性、溫度和水質等。
下滲率的測定
下滲率在初始下滲時為最大(f),隨時間而遞減,最終趨於穩定。穩定值稱穩定下滲率f。這種情況下的下滲曲線又稱下滲容量曲線。直接測定下滲容量曲線的方法有同心環法和單管法。測驗過程中為保持環內或管內固定水深而在單位時間內注入的水量就是下滲率。這兩種方法得到的是一定條件下的單點下滲水量。在徑流實驗場或徑流試驗小區,根據實測降雨量(人工降雨或天然降雨)和徑流量,用水文分析法可求得一定面積上的平均下滲率。
受力狀態分析
若水源在地面上保持有一定的深度,滲入土壤的下滲水所受的力有以下幾種:
下滲重力。當下滲鋒面的深度為h時,鋒面上水所受的重力為,其中,d為水密度(g/cm );g為重力加速度(980cm/s );S為等面積水平截面上的孔隙面積(cm ),對同種土壤其為常數;h為土壤厚度(cm)。
下滲毛管力。存在於下滲鋒面上的土顆粒、水與空氣交界處,方向向下,力的大小為,式中,F為毛管力(10μN);V為水張力係數,常溫下為7.28×102μN/cm,θ為水—土顆粒接觸角,常溫下接近0°;L為等面積內的下滲鋒面上毛細孔隙壁的土顆粒與水接觸線總長度(cm),對同一種土壤如考慮的面積相等且足夠大,不同截面上其值為常數。
下滲
下滲
下滲
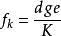
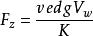
下滲粘滯阻力。根據土壤水動力學,粘滯阻力,v為水流流速(水鋒面下移速度),V為流動水體積,f為阻力係數,可由達西定律導出。當水在飽和帶中垂直下滲時,毛管力為0,下滲力為重力,這時下滲強度等於滲透係數K,滲流流速為v=K/e,e為土壤孔隙率,因為均速流動,所以重力等於粘滯阻力,即,可得。故粘滯阻力為。
下滲地表水層的靜水壓力。方向向下,與地表水深成正比,可表示為。實驗證明此靜水壓力對入滲水的影響極為有限,其作用可以忽略。
空氣余壓力。當土壤中的空氣不能及時排出時,會產生滲入水頂、底面的空氣壓力差即空氣余壓力而影響下滲.但在天然條件下的下滲中,空氣余壓力的影響很小,可以忽略不計。
下滲公式
非飽和下滲公式
它是基於非飽和土壤水流的連續方程和達西定律,在給定適當的初始條件和邊界條件下解得的下滲公式。這類公式中,以菲利浦(J.R.Philip)於1957年提出的級數解法最為著名。
飽和下滲公式
根據貝德曼和科爾曼在1943年提出的下滲過程中土壤水分剖面的基本特點,可對複雜的下滲過程作出如下概化:
以濕潤鋒為界,認為其上部土壤含水量達到飽和,其下部仍未初始土壤含水量;
濕潤鋒向下移動的條件是其上部土層達到飽和含水量。
1.以濕潤鋒為界,認為其上部土壤含水量達到飽和,其下部仍未初始土壤含水量;
2.濕潤鋒向下移動的條件是其上部土層達到飽和含水量。
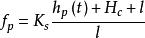
下滲在這兩個假設下,下滲過程中土壤水分剖面隨時間的變化將形如一個氣缸中活塞不斷地沿深度方向推進。奧佛頓於1967年套用飽和下滲理論導出了地面積水深隨時間變化情況下的下滲曲線公式
式中,f為下滲容量,K為飽和水力傳導度,h(t)為隨時間變化的地面積水深度,Hc為濕潤鋒面處毛管上升高度,l為下滲的土柱長度。
經驗下滲公式
前面討論的下滲理論,雖然提供了揭示下滲規律和分析影響因素的工具,但它們所處理的下滲問題一般只限於簡單情況。對通過觀測實際問題取得的下滲資料,選配以合適的函式形式,並率定其中的參數,從而求得相應的下滲曲線,這種確定下滲曲線的途徑是不同於前邊的理論途徑的,稱為經驗公式。
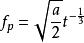
此類公式繁多,常用的是科斯加柯夫公式和霍頓公式:
下滲前者的形式是 ,式中a為經驗係數,它表明在下滲過程中下滲率與下滲量成反比。
下滲後者的形式是 ,式中f為初始下滲率,f為穩定下滲率,k為經驗係數。下滲公式在農田灌溉計算和降雨產流分析中均有重要套用。

