三磷酸腺苷二鈉
是核苷酸衍生物,參與體內脂肪、蛋白質、糖、核酸以及核苷酸的代謝。當體內吸收、分泌、肌肉收縮及進行生化合成反應等需要能量時,三磷酸腺苷即分解成二磷酸腺苷及磷酸基,同時釋放出能量。
三磷酸腺苷二鈉能夠穿透血-腦脊液屏障,能提高神經細胞膜性結構的穩定性和重建能力、促進神經突起的再生長。本品與戊糖在體內酶的作用下可以合成核酸;與磷脂膽胺在轉胞苷酸酶的作用下能合成腦磷脂和單磷酸胞苷。本品在體內主要經肝代謝,少量經腎代謝排出。
化學性質
本品為白色結晶或類白色粉末,無臭,略有酸味;有引濕性。在水中易溶,在乙醇、乙醚、氯仿及苯中極微溶解。鹼性溶液中較穩定,酸性及中性溶液中易分解。受熱也易分解。適應症
臨床用於因組織損傷、細胞酶活力下降所致的各種疾病。如心力衰竭,心肌炎、心肌梗塞、腦動脈硬化、冠狀動脈硬化、進行性肌萎縮、腦出血後遺症、急慢性肝炎、肝硬化和聽力障礙等。藥物說明
三磷酸腺苷二鈉組成
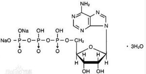
三磷酸腺苷二鈉分子式:C10H14O13N5P3Na2.3H2O
分子量:605.24
三磷酸腺苷二鈉用量用法
肌注或靜註:1次20mg,1日1~3次,肌注、靜注都用注射用的三磷酸腺甘,另附有緩衝液溶解,再以5%~10%葡萄糖液10~20ml稀釋後緩慢靜注,也可用5%~10%葡萄糖液稀釋後靜滴
注意事項
1.靜注宜緩慢,以免引起頭暈、頭脹、胸悶及低血壓等。由於本品在終止室上性發作過程中,可發生多種心律失常和全身反應,儘管是瞬間反應,無需處理,但仍具有一定潛在危險。故使用本藥時宜連續心電圖監測,密切注意病人全身反應;治療劑量宜從小劑量開始,無效時逐漸加量,1次不宜超過40mg;另外,本品對竇房結有明顯抑制,因而對病竇綜合徵或竇房結功能不全或老年人慎用或不用。2.腦出血初期忌用。3.本品受熱後易降低效價,應在低溫、乾燥處保存。4.有過敏史者不宜使用。5.部分療效不確切,應引起注意,切勿濫用。
藥物分析
方法名稱
三磷酸腺苷二鈉原料藥—總核苷酸的測定—分光光度法 套用範圍:本方法採用分光光度法測定三磷酸腺苷二鈉原料藥中總核苷酸的含量。 本方法適用於三磷酸腺苷二鈉原料藥。方法原理
供試品加0.1mol/L磷酸緩衝液製成供試液,置紫外可見分光光度計,於259nm波長處測定吸收度,計算出其含量。
試劑:磷酸緩衝液(0.1mol/L) 儀器設備:紫外可見分光光度計 試樣製備:1.磷酸緩衝液(0.1mol/L) 取取磷酸氫二鈉35.8g,加水至1000mL,無水磷酸二氫鉀13.6g,加水至1000mL,二液互 調pH值至7.0。 2.供試品溶液的製備 精密稱取供試品適量,加0.1mol/L磷酸緩衝液使溶解並製成每1mL中含20ug的溶液,即得供試品溶液。 註:“精密稱取”系指稱取重量應準確至稱取重量的千分之一。“精密量取”系指量取體積的準確度應符合國家標準中對該體積移液管的精度要求。 操作步驟:取供試品溶液照紫外分光光度法,于波長259nm處測定吸收度,按C10H14N5Na2O13P3的吸收係數(E1%1cm)為279計算,即得。
注
分光光度法應以配製供試品的同批溶劑為對照,採用1cm的石英吸收池。以吸收度最大的波長作為測定波長,一般供試品的吸收度讀數,以在0.3-0.7之間的誤差較小。儀器的狹縫波頻寬度應小於供試品吸收帶的半寬度,否則測得的吸收度偏低。狹縫寬度的選擇,應以減少狹縫寬度時供試品的吸收度不再增加為準。由於吸收池和溶劑本身可能有空白吸收,因此測定供試品的吸收度後應減去空白讀數,再計算含量。
參考文獻
中華人民共和國藥典,國家藥典委員會編,化學工業出版社,2005年版,一部,p.24。

