基本概念
早期工程師製圖時,把富有彈性的細長木條(所謂樣條)用壓鐵固定在樣點上,在其他地方讓它自由彎曲,然後沿木條畫下曲線。成為樣條曲線。
相關函式
三次樣條函式:
定義:函式S(x)∈C2[a,b] ,且在每個小區間[ xj,xj+1 ]上是三次多項式,其中
a =x0 <x1<...< xn= b 是給定節點,則稱S(x)是節點x0,x1,...xn上的三次樣條函式。
若在節點x j 上給定函式值Yj= f (Xj).( j =0, 1, , n) ,並成立
S(xj ) =yj .( j= 0, 1, , n) ,則稱S(x)為三次樣條插值函式。
實際計算時還需要引入邊界條件才能完成計算。邊界通常有自然邊界(邊界點的二階導為0),夾持邊界(邊界點導數給定),非扭結邊界(使兩端點的三階導與這兩端點的鄰近點的三階導相等)。一般的計算方法書上都沒有說明非扭結邊界的定義,但數值計算軟體如Matlab都把非扭結邊界條件作為默認的邊界條件。
數學表達式
一種常用的樣條插值設[a,b]上的插值節點構成[a,b]的一個分劃Δ:a=x<x<…<x=b,f(x)於各節點的值是f(x)=f(i=0,1,…,n).三次樣條插值問題是求[a,b]上關於分劃Δ的三次樣條函式s(x).根據s(x)應滿足的兩個條件於[x,x],有
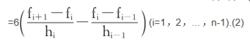
三次樣條插值其中h=x-x (i=0,1,…,n-1),M=s″(x)為待定參數.M,M,…,M滿足線性方程組
hM+2(h+h)M+hM
三次樣條插值方程組(2)是含有n+1個未知數M(i=0,1,…,n)的由n-1個方程組成的線性方程組,不能定解.為此尚需補充兩個條件.一般,在插值區間兩個端點各補充一個條件,通常稱為端點條件.最常用的端點條件有三種類型:
1.s′(x)=f′, s′(x)=f′.
2.s″(x)=f″, s″(x)=f″.
3.s(x)=s(x) (j=0,1,2).
用M表示,這三種條件依次為:
三次樣條插值求解過程
1.將方程組(2)與三種端點條件的任何一種聯合,解關於M,M,…,M的線性方程組.
2.將M(i=0,1,…,n)代入方程組(1)就得到s(x)關於各子區間的表達式.
特別指出,若第2種端點條件取為
M=M=0(s″(x)=s″(x)=0),
據此得到的樣條插值函式稱為自然樣條,它在理論上,計算實踐上都是很重要的.上面求解三次樣條插值的方法稱為三彎矩法,是三次樣條插值解算方法中最常用的一種。
三次樣條函式的構造
在工程上,構造三次樣條插值函式通常有兩種方法:一是以給定插值結點處得二階導數值作為未知數來求解,而工程上稱二階導數為彎矩,因此,這種方法成為三彎矩插值。二是以給定插值結點處得一階導數作為未知數來求解,而一階導數又稱為斜率,因此,這種方法稱為三斜率插值。

