介紹
β衰變
β-decay
β衰變的半衰期分布在接近10秒到10年的範圍內,發射出粒子的能量最大為幾兆電子伏。β衰變不僅在重核範圍內發生,在全部元素周期表範圍內都存在β放射性核素。因此,對β衰變的研究比α衰變的研究更重要 。
β衰變中,原子核發生下列三種類型的變化:
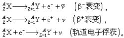
X→ Y+e +-ve(β 衰變)
X→ Y+e +ve(β 衰變)
X+e → Y+ve(EC)
式中X和Y分別代表母核和子核;A和Z是母核質量數和電荷數;
e 、e 為電子和正電子,-ve、ve為反電子中微子和電子中微子。
三種類型釋放的衰變能分別為
Qβ-=(mx-mY)c^2
Qβ+=(mx-mY-2me)c^2,
QEC=(mx-mY)c^2-wi
式中mX、mY分別為母核原子和子核原子的靜質量;me為電子靜質量;wi為軌道電子結合能;c為真空光速。
軌道電子俘獲可俘獲K層電子 ,稱為K俘獲 ;也可以俘獲L層電子,稱為L俘獲。軌道電子俘獲所形成的子核原子於缺少一個內層電子而處於激發態,可通過外層電子躍遷發射X射線標識譜或發射俄歇電子而退激。最初以為β-連衰變僅放出電子,實際測量發現,放出的電子能 量從零到 Qβ- 連續分布 ,曾困惑物理學家多年 。
1930年W.E.泡利提出β-衰變放出e-的同時還放出一個靜質量為零、自旋為1/2的中性粒子,衰變能為電子和該粒子分享 ,該粒子後來被稱為中微子,1952年以後被實驗確鑿證實。
β衰變屬於弱相互作用。1956 年李政道和楊振寧提出弱相互作用過程宇稱不守恆,第二年吳健雄等人利用極化核 Co的β衰變實驗首次證實了宇稱不守恆 。這一發現不僅促進了β衰變本身的研究,也促進了粒子物理的發展。
發展
β衰變是放射性原子核放射電子(β粒子)和中微子而轉變為另一種核的過程。1896年,亨利·貝克勒(A. H. Becquerel)發現鈾的放射性;1897年,盧瑟福(E. Rutherford)和約瑟夫·湯姆孫(J. J. Thomson)通過在磁場中研究鈾的放射線偏轉,發現鈾的放射線有帶正電,帶負電和不帶電三種,分別被稱為α射線,β射線和γ射線,相應的發出β射線衰變過程也就被命名為β衰變。
放出正電子的稱為“正β衰變”,放出電子的稱為“負β衰變”。在正β衰變中,核內的一個質子轉變成中子,同時釋放一個正電子和一個中微子;在負β衰變中,核內的一個中子轉變為質子,同時釋放一個電子和一個反中微子。此外電子俘獲也是β衰變的一種,稱為電子俘獲β衰變。
因為β粒子就是電子,而電子的質量比起核的質量來要小很多,所以一個原子核放出一個β粒子後,它的質量只略微減少。
衰變規律
新核的質量數不變,電荷數增加1,新核在元素周期表中的位置要向後移一位。β衰變中放出的電子能量是連續分布的,但對每一種衰變方式有一個最大的限度,可達幾兆電子伏特以上,這部分能量由中微子帶走。
1957年,吳健雄博士用鈷-60的β衰變實驗證明了在弱相互作用中的宇稱不守恆。
原理
三種類型
β衰變中,原子核發生下列三種類型的變化:
β衰變 其中X和Y分別表示母核和子核, A和 Z為母核的質量數和質子數,e 和e 為電子和正電子, -v和v為反電子中微子和電子中微子。 β衰變能分別表示為
β衰變 其中 mx和 my為母核原子和子核原子的靜止質量, me為電子的靜止質量, Wi為軌道電子結合能,с為光速。
軌道電子俘獲過程所形成的子核原子,由於缺少了一個內層電子,原子處於激髮狀態,它可以通過不同方式退激。對於K俘獲,當L層電子跳到K層填充空位,可以發射標識X射線,或稱特徵X 射線。它的能量是 K層和L層電子的結合能之差 hv= Wk- WL;當L層電子跳到K層空位時,也可以不發射標識X射線,而把能量交給另一個L層電子,使其克服結合能而飛出,這種電子稱為俄歇電子,它的動能 Ee= hv- WL= Wk-2 WL。軌道電子俘獲總伴隨有標識X射線或俄歇電子的產生。
β衰變的電子中微子理論 β衰變中放出的β粒子的能量是從 連續分布的。為了解釋這一現象,1930年,W.泡利提出了β衰變放出中性微粒的假說。1933年,E.費密在此基礎上提出了β衰變的電子中微子理論。這個理論認為:中子和質子可以看作是同一種粒子(核子)的兩個不同的量子狀態,它們之間的相互轉變,相當於核子從一個量子態躍遷到另一個量子態,在躍遷過程中放出電子和中微子。β粒子是核子的不同狀態之間躍遷的產物,事先並不存在於核內。所以,引起β衰變的是電子-中微子場同原子核的相互作用,這種作用屬於弱相互作用。這個理論成功地解釋了β譜的形狀,給出了β衰變的定量的描述。
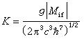
β衰變 β躍遷幾率 根據量子力學的微擾論,費密理論給出單位時間發射動量在 p到 p+d p間β粒子的幾率為, (1)
式中 g是弱相互作用常數, Mif是躍遷矩陣元,啚是普朗克常數 h除以2 π, F( Z, E)是庫侖改正因子,它描述核的庫侖場對發射β粒子的影響,是子核電荷數 Z和β粒子能量 E的函式。躍遷幾率的大小主要由躍遷矩陣元| Mif|的大小決定。
β躍遷分類 根據躍遷矩陣元的大小,可將β躍遷分為容許躍遷、一級禁戒躍遷、二級禁戒躍遷等。級次越高,躍遷幾率越小;相鄰兩級間,幾率可以相差幾個數量級。
費密理論給出β衰變對母核同子核間的自旋和宇稱變化的選擇定則:對於允許躍遷,自旋變化|Δ I|=0,1,宇稱變化 Δ π=+1;對於一級禁戒躍遷,|Δ I|=0,1,2,Δ π=-1;對於二級以上的如 n級禁戒躍遷,|Δ I|= n, n+1,Δ π=(-1)。
β衰變的居里描繪
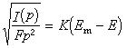
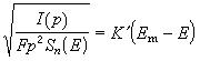
β衰變 在β衰變的研究中,常將式(1)改寫為, (2)式中。對容許躍遷,| Mif|與β粒子的能量無關, K為常數。此時若以為縱坐標, E為橫坐標作圖,則得一條直線。直線同橫軸的交點為β粒子的最大能量 Em。這種圖稱為居里描繪,也稱費密-居里圖。這樣,居里描繪可用來精確地測定 Em。此外,也可用來分解複雜的β譜。對於禁戒躍遷, Mif往往不是常數,則按式(2)作圖時不是一條直線。這時可引入一個同β粒子能量有關的因子 Sn( E)對居里描繪進行改正,即把 K中同能量有關的因子分出來,,使 K┡為常數。此時式(2)可寫成
β衰變 ,改正後的居里描繪取
β衰變 對 E作圖,仍是一條直線。 Sn( E)由理論可以計算。因而,通過理論同實驗的比較,可決定 Sn( E),從而可以定出禁戒躍遷級次 n。
薩晉關係
β衰變 通過對β粒子動量分散式(1)的積分,假定躍遷矩陣元 Mif同β粒子能量的關係可以忽略,便得到β衰變常數λ或半衰期 T½。,(3)
式中 f( Z, Em)稱為費密積分函式。 pm為電子的最大動量。
β衰變 當β粒子的最大能量遠大於它的靜止能量,並且可以忽略核的庫侖場對發射β粒子的影響時,
從而可得關係。
β衰變 這一關係稱為薩晉關係,它表示β衰變常數(或半衰期)隨β粒子的最大能量 Em的變化而劇烈地變化。
由薩晉關係可見,僅僅以半衰期(或衰變常數)的大小不能反映β躍遷的級次。
β衰變 因此需要引入比較半衰期 fT½。由於 fT½值與| Mif|成反比,而| Mif|的大小對不同級次的躍遷有很大差別,從而 fT½值可用來比較躍遷的
級次。這就是稱 fT½為比較半衰期的由來。
實驗測得的各級躍遷的lg fT½值大致範圍如下:躍遷級次 lg fT½
β衰變 容 許 3~6一級禁戒 6~10二級禁戒 10~13
三級禁戒 15~18β
衰變中的宇稱不守恆
在β衰變的研究中的一個重要的突破是1956年李政道和楊振寧提出的弱相互作用中的宇稱不守恆,第二年吳健雄等人利用極化核鈷的β衰變實驗首次證實了宇稱不守恆,這一發現不僅促進了β衰變本身的研究,也促進了粒子物理學的發展。
雙重β衰變
β衰變 雙重β衰變,亦作ββ衰變,是β衰變的一個特例,包含原子核內兩個單位的轉變,只發生於特定的原子核。雙重β衰變正常來說會放出兩對中微子,但現時有科學家猜想是否有可能發現不放出中微子的雙重β衰變,稱為“無中微子雙β衰變”。物理學者尚未能驗證此程式存在,推長半衰期下限至10年。

