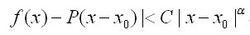
設f(x)為f:R->R的函式,如果有:
holder指數其中 α>0,P為次數不超過 α的多項式,x∈B(x0,δ)的閉球,C為大於0的常數,令:
holder指數則,我們稱α(x0)為函式f(x)在x0點處的holder指數,
α ( x) 為 f ( x) 在其定義域上的holder 函式。

holder指數使數學術語,滿足某個定停函式式。
設f(x)為f:R->R的函式,如果有:
holder指數其中 α>0,P為次數不超過 α的多項式,x∈B(x0,δ)的閉球,C為大於0的常數,令:
holder指數則,我們稱α(x0)為函式f(x)在x0點處的holder指數,
α ( x) 為 f ( x) 在其定義域上的holder 函式。
holder指數使數學術語,滿足某個定停函式式。
Holder不等式及其套用作者:田景峰、哈明虎定價:45元印次:1-1ISBN:9787302454403出版日期...不等式構成的函式的單調性12732指數一般化的H¨older不等式構成...
內容簡介《源創新》是史丹福大學教授、企業創新轉型策劃大師謝德蓀(Edison Tse) 的關於中國企業創新和中國經濟轉型的...
內容簡介 作者簡介 序言 引言 書評第二節 HOLDER空間與Lp空間 一、Holder連續函式空間...、平移 二、測地線 三、指數映射 四、測地法坐標系 五...
圖書信息 內容簡介 目錄及指數期權皆可組合,進行套利交易或避險交易。期權主要可分為買方期權(Call...
國內最新進展 分類 特性 具體內容 特點的質量不好,在較短的時間內密封油變質,破乳化性、粘度指數等指標超標,多次出現...在露天四季通用,密封油粘度指數低,在夏季會因粘度大幅下降影響密封能力。密封...
雙膜乾式 濕式 乾式 高壓式 曼式契約價。期權交易過程中,開設認購期權倉位的持有者(holder)向開設認沽...
類型 投資優勢 外匯交易 學習入門 買賣優點是 ( )次赫爾德連續的,並稱 為赫爾德指數。推廣 赫爾德連續性 通過分布導數,可以把 推廣到實數。套用信號中的高斯白噪聲光滑性很差,赫爾德指數...
簡介 推廣 套用 光滑函式人物生平早年經歷 陳建功 1893年9月8日,陳建功出生於浙江紹興府城裡(今浙江省紹興市)。父親陳心齋是城中慈善機構同善局裡的一...
人物生平 主要成就 社會任職 人物評價