起源
字母E的產生可能是由於一個雙手舉起的人的符號,像在古埃及的象形文字里並很早出現在約在公元前1500年的西奈半島。這個符號對於埃及人來說是快樂或者高興的意思。大約在公元前1000年,在比布魯斯(古地中海港市,位於現黎巴嫩貝魯特以北的朱拜勒,公元前第二個千年成為繁華的腓尼基城)和腓尼基的其他一些地方以及迦南的中心,這個符號是特定的線性形式,對於全部的線性形式來說。這個符號在閃族的語言裡叫做he就像英語中H的發音。當希臘人開始從左到右書寫的時候他們從中間翻轉了這個符號使它容易書寫。他們否定了閃族人h的標準並且給了它一個新的標準-元音e。他們叫這個符號為epsilon,意味著short e(簡略的e)。羅馬人採用了這個符號作為拉丁文中的大寫字母E。而這個符號又毫無改變的從拉丁文中套用到了英語中。希臘羅馬時代的書寫改變了字母使得它更適用於書寫。到了這個時候英語的手寫體和印刷體就成了小寫e。
字母eE
KK: []
DJ: []
n.
1.英語字母中的第五個字母,小寫為e
2. (用大寫E)劣等(成績)(常須補考方可及格)
3. 合成迷幻藥(=ecstacy)
e
KK: []
DJ: []
n.
1. 英語字母的第五個字母;
2. 【美】學校成績的附有條件的及格。
代表意義
大寫
一個音符,E音或E調,C大調音階中的第三個音或C小調音階中的第五個音。
在國際單位制詞頭,E表示exa(1E = 10^18)
在數學上,?(翻轉的E)表示“存在(Exist)”,例如:?x,x+1=3
在數學上E用來表示“科學計數法”,如3.2×10^18 記作 3.2E18,即E=E xponent,指數;冪。
常用作歐元符號(大寫E,寫成圓形,兩橫)
統計學上的期望值
材料力學的楊氏模數
物理上能量的符號如:E=mc^2
物理中電動勢的符號 E=U+Ir
E在數學中能表示為一個未知數
也可以指單位矩陣。
在二次曲線中表示離心率,e=c/a
在燈頭參數中常有“E27”,E即表示燈座螺紋外徑。
在交流電中表示接地。
指二戰時德軍的E系列坦克計畫,如:E-100
鋼結構設計中E 代表鋼材的彈性模量。
指南針、地圖、路標等標示的 E 代表“東”是 East 的縮寫。
小寫
電子 (electron) 的簡稱,是構成物質的基本粒子之一,因帶負電,也寫作 e-。e=1.6 × 10^ -19庫侖
電子 (electronic) 的簡稱,用在微電子產品之上,也是網路用語。
天文學上可以指(軌道)偏心率。
西班牙語中e為y的變體。
e[字母]
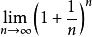
e[字母]自然底數,,且e=≈ 2.71828 18284 59045.......................
拼音
漢語音位變體圖e 是漢語拼音里的一個單韻母,在漢語拼音方案表里對應的漢字是 “鵝”。e 在漢語拼音里有四個音位變體,
[e] ei uei 舌面前、半高、不圓唇元音 如: 北
[Е] ie ǖe 舌面前、正中、不圓唇元音 如: 別
[ə] en eng er 捲舌、央、中、不圓唇元音 如: 等
[γ] e 舌面後、半高、不圓唇元音 如 : 德
含義
縮寫
E,在手機通信網路中代表“EDGE無線業務”,通常顯示在移動設備狀態欄上。
IE,Internet Explorer 的圖示就是一個大寫的E
音標
國際音標:[e]是中閉前的不圓唇音。但是他可以淡定唇音
字元編碼
字元編碼ASCII Unicode EBCDIC :大寫 E 69 0045 197 小寫 e 101 0065 133
其他意義
E的變體
Əə(中央元音)
Ǝǝ(泛奈及利亞字母)
Ɛɛ(半開前不圓唇元音)
∃(數學上的存在符號)
€(歐元的符號)
相近字母
Εε(希臘字母Epsilon)
Ее(西里爾字母E)
Єє(西里爾字母 Ye)
英文名字
| 英文名 | 中文 | 性別 | 音標 | 來源 | 流行度 |
| Early | 中性 | ['ə:li] | |||
| Easter | 伊斯特爾 | 女性 | ['i:stə] | 古代英語 | |
| Easton | 伊斯頓 | 男性 | 現代英語 | ||
| Eaton | 男性 | ['i:tn] | 古代英語 | ||
| Eben | 埃本 | 男性 | ['ebən] | 現代英語 | |
| Ebenezer | 亦班尼澤 | 男性 | [ebi'ni:zə] | 以色列語 | |
| Eberhard | 男性 | 德國 | |||
| Echo | 埃侯 | 中性 | ['ekəu] | 希臘語 | |
| Ed | 埃德 | 男性 | [ed] | 古代英語 | |
| Edda | 艾達 | 女性 | ['edə] | 義大利語 | |
| Eddie | 埃迪 | 中性 | ['edi] | 古代英語 | |
| Eddy | 埃迪 | 男性 | ['edi] | 古代英語 | |
| Eden | 伊登 | 中性 | ['i:dn] | 以色列語 | |
| Edgar | 埃德加 | 男性 | ['edgə] | 古代英語 | |
| Edie | 伊迪 | 女性 | ['i:di] | 古代英語 | |
| Edison | 愛迪生 | 男性 | ['edisn] | 古代英語 | |
| Edith | 伊迪絲 | 女性 | ['i:diθ] | 古代英語 | |
| Edmond | 埃德蒙 | 男性 | ['edmənd] | ||
| Edmund | 埃德蒙 | 男性 | ['edmənd] | 德國 | |
| Edna | 埃德娜 | 女性 | ['ednə] | 蘇格蘭 |
| 英文名 | 中文 | 性別 | 音標 | 來源 |
| Edom | 男性 | ['i:dəm] | 以色列語 | |
| Edson | 愛迪森 | 男性 | 巴西語 | |
| Edward | 愛德華 | 中性 | ['edwəd] | 古代英語 |
| Edwin | 埃德溫 | 男性 | ['edwin] | 古代英語 |
| Edwina | 埃德溫娜 | 女性 | ['edwinə] | 古代英語 |
| Effie | 埃菲 | 女性 | ['efi] | 蘇格蘭 |
| Egeria | 女性 | [i:'dʒiəriə] | 希臘語 | |
| Eileen | 艾琳 | 女性 | 艾里什 | |
| Einar | 埃納 | 男性 | ['ainə(r),'ainɑ:(r)] | 斯堪的納維亞 |
| Eire | 女性 | ['eərə(r)] | 蓋爾語 | |
| Elaine | 伊萊恩 | 女性 | ||
| Elam | 男性 | 以色列語 | ||
| Elana | 女性 | 希臘語 | ||
| Elba | 埃爾芭 | 女性 | ['elbə] | 奧里吉納爾 |
| Elbert | 埃爾伯特 | 男性 | ['elbət] | 奧里吉納爾 |
| Elder | 男性 | |||
| Eldred | 埃爾德雷德 | 男性 | ['eldrid] | 古代英語 |
| Elea | 女性 | 古代英語 | ||
| Eleanor | 埃莉諾 | 女性 | 古代英語 | |
| Eleanora | 女性 | [elə'nɔ:rə] | 古代英語 | |
| Ellen | 艾倫 | 女性 |
| Ellsworth | 埃爾斯沃思 | 男性 | ['elzwə:θ] | |
| Elmer | 埃爾默 | 男性 | ['elmə] | 古代英語 |
| Elmira | 女性 | 現代英語 | ||
| Elmo | 埃爾謀 | 男性 | ||
| Eloise | 埃勒維茲 | 女性 | ['eləwi:z,elə'wi:z] | 古代英語 |
| Elroy | 埃爾羅伊 | 男性 | 古代英語 | |
| Elsa | 埃爾莎 | 女性 | ['elsə] | 德國 |
| Elsie | 艾西 | 女性 | 古代英語 | |
| Elspeth | 女性 | ['elspeθ] | 蘇格蘭 | |
| Elton | 愛爾頓 | 男性 | ['eltən] | 古代英語 |
| Elva | 艾娃 | 女性 | ['elvə] | |
| Elvira | 埃爾韋拉 | 女性 | [el'vaiərə] | |
| Elvis | 埃爾維斯 | 男性 | 古代英語 | |
| Ely | 男性 | ['i:li] | 以色列語 | |
| Elysee | 女性 | [eili:'zei] | 現代英語 | |
| Eman | 艾門 | 女性 | ['emən] | 非洲語 |
| Emanuel | 伊曼紐爾 | 男性 | [i'mænjuəl] | 匈牙利語 |
| Emeric | 男性 | ['emərik] | 德國 | |
| Emerson | 愛默生 | 中性 | ['eiməsn] | 古代英語 |
| Emil | 埃米爾 | 男性 | 匈牙利語 |
![e[字母] e[字母]](/img/9/406/nBnauM3XyMDO5ATOwITN5EDN0UTMyITNykTO0EDMwAjMwUzLyUzLxgzLt92YucmbvRWdo5Cd0FmL0E2LvoDc0RHa.jpg)
