定理定義
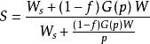
Sun-Ni定理中引入了一個函式G(p)表示存儲容量受限時工作負載的增加量。那么Sun-Ni的加速比公式可表示為:
Sun-Ni定理定理推廣
在Gustafson定理中,加速比與處理器數幾乎呈線性關係,這是Sun-Ni定理中G(p)=p的情況;而如果G(p)=1,則是表明工作量無增加,即Amdahl定理中的情況。

Sun-Ni定理中引入了一個函式G(p)表示存儲容量受限時工作負載的增加量。該定律的加速比是由一個受到記憶體大小限制的問題計算時,是Amdahl和Gustafson定律的推廣。
Sun-Ni定理中引入了一個函式G(p)表示存儲容量受限時工作負載的增加量。那么Sun-Ni的加速比公式可表示為:
Sun-Ni定理在Gustafson定理中,加速比與處理器數幾乎呈線性關係,這是Sun-Ni定理中G(p)=p的情況;而如果G(p)=1,則是表明工作量無增加,即Amdahl定理中的情況。
