定義
等差級數
等差級數如果一列數,從第一項開始,以後每一項都是它的前一項加上一個固定的數,即
等差級數
等差級數則對這樣的一列數,我們稱之為等差數列,稱之為公差。
等差級數
等差級數對於等差數列,只需知道其首項和公差,則其餘各項均可表示出:
等差級數如果等差數列中的各項依次相加,即:
等差級數我們便稱之為等差級數或稱算術級數。
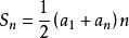
等差級數求和
等差級數將等差級數用倒序表示:
等差級數兩式相加得:
等差級數則:
等差級數
等差數列的前n項和稱為一個等差級數,也稱算術級數。例:1,3,5,7,9為一個等差數列,而1+3+5+7+9則為一個等差級數。
等差級數
等差級數如果一列數,從第一項開始,以後每一項都是它的前一項加上一個固定的數,即
等差級數
等差級數則對這樣的一列數,我們稱之為等差數列,稱之為公差。
等差級數
等差級數對於等差數列,只需知道其首項和公差,則其餘各項均可表示出:
等差級數如果等差數列中的各項依次相加,即:
等差級數我們便稱之為等差級數或稱算術級數。
等差級數將等差級數用倒序表示:
等差級數兩式相加得:
等差級數則:
等差級數世傑,則突破了有理式的限制,開始處理無理方程.其次是高階等差級數的研究.沈括的隙積術開研究高階等差級數之先河,楊輝給出包括隙積術在內的一系列二階等差級數求和公式.朱世傑則在此基礎上依次研究了二階、三階、四階乃至五階...
簡介 經歷 軼聞 著述 貢獻有理式的限制,開始處理無理方程.其次是高階等差級數的研究。沈括的隙積術開研究高階等差級數之先河,楊輝給出包括隙積術在內的一系列二階等差級數求和公式。朱世傑則在此基礎上依次研究了二階、三階、四階乃至五階等差級數的求和...
簡介 經歷 軼聞 著述 貢獻秦九韶人物生平 秦九韶 秦九韶(公元1202-1261),字道古,安岳人。秦九韶與李冶、楊輝、朱世傑並稱宋元數學四大家。其父秦季...
秦九韶 李冶 楊輝 朱世傑問題。中算圓周率中算家在這方面的成果中國數學家很早就認識了等差級數...以19833里100步×2遞增,這就是等差級數。約在公元1世紀成書的中國重要數學著作《九章算術》在《衰分》和《均輸》二章里的問題和等差級數有關。在5...
三角數的發現 古代的算法 中算圓周率 動腦筋問題認識了等差級數,在中國最早的數學書《周髀算經》里談到“七衡”(日月運行的圓周)的直徑以19833里100步×2遞增,這就是等差級數。約在公元1世紀...等差級數有關。在5世紀末南北朝的張丘建在他著的《張丘建算經》就有三個問題是...
定義 發現 古代的算法 中算圓周率傑將高階等差級數求和和高次內插法進行了發展。《四元玉鑒》是元代傑出數學家...方程組問題是該書的最大貢獻,書中另一個重大成就是系統解決高階等差級數求和問題...等差級數求和問題的普遍的解法。自宋代起我國就有了關於高階等差級數求和問題的研究...
簡介 貢獻 作者簡介 相關資料 卷首與組合、高階等差級數、內插法等數學知識都有密切關係。在西方,直到16世紀才有...積術"是楊輝繼沈括"隙積術"後,關於高階等差級數的研究。楊輝在"纂類"中....繼沈括“隙積術”之後,關於高階等差級數的研究創“垛積術”.又將...
基本資料 著作簡介 研究成果 中國知名資產管理專家與組合、高階等差級數、內插法等數學知識都有密切關係。在西方,直到16世紀才有...積術"是楊輝繼沈括"隙積術"後,關於高階等差級數的研究。楊輝在"纂類"中....繼沈括“隙積術”之後,關於高階等差級數的研究創“垛積術”.又將...
基本資料 著作簡介 研究成果 中國知名資產管理專家,關於高階等差級數求和的研究。在《詳解九章算法》和《算法通變本末》中記敘了若干二階等差級數求和公式,其中除有一個即沈括的當童垛外,還有三角垛、四隅...
主要成就 人物故事