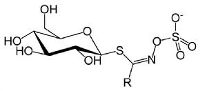
Glucosinolate
GlucosinolateGlucosinolate,中文名為葡萄糖異硫氰酸鹽(又稱硫代葡萄糖苷,芥子油苷, mustard oil glucoside)是一類含氮、含硫的植物次生代謝產物,主要分布於十字花科植物。它包含一個葡萄糖基,一個beta-thio-Glc官能團,一個磺酸肟,和一個可變動的側鏈基團。在植物中已知120多種天然存在的Glucosinolate,它們只是側鏈基團有所不同,側鏈是不同Glucosinolate具有不同生物學功能的關鍵因素。
生物合成
Glucosinolate由一個葡萄糖和一個特殊的胺基酸(methionine, alanine, leucine or valine)經過生物合成得到。
其中脂肪族Glucosinolate大都從methionine得到,通過與乙醯輔酶A的羥醛縮合、羥基變位、脫羧這樣的循環,得到不同長度的脂肪側鏈。具有抗癌作用的glucoraphanin就是通過methionine鏈的兩次延長。
芳香族Glucosinolate一般由tryptophan和phenylalanine得到。
生理活性
它作為十字花科植物的次生代謝產物,是其苦味和刺激性味覺產生的原因(譬如芥菜、油菜籽、蘿蔔、山葵、水芹、甘藍、羽衣甘藍、蕪箐甘藍、蕉青甘藍、大頭菜、花椰菜、椰菜),被植物用作殺蟲劑和抵禦食草動物。
Glucosinolate是個化學性質穩定的物質,本身並不具備生理活性,其降解產物具有多種生化活性,介導著植物與環境之間的相互作用,因而引起了人們極大的研究興趣。在過去的數十年中,隨著模式植物擬南芥基因組的序列測定和功能解析,人們對Glucosinolate的生物合成和降解途徑已經有了較為深入的認識。近年來,研究者更多地關注Glucosinolate代謝與其它物質代謝途徑的相互聯繫以及與植物生存環境的相互作用。例如已發現吲哚族芥子油苷與IAA(indole-3-aceticacid)合成途徑存在交叉,吲哚族Glucosinolate的合成影響IAA的含量,從而與植物體內的激素平衡相關聯,影響植物的形態建成,並可能與植物對環境因素的回響機制相關。
同時,Glucosinolate因具有抗癌活性也備受矚目。為什麼十字花科植物能防癌?因為在這些蔬菜被切割與咀嚼時,由於植物細胞被破壞,Glucosinolate會與其他的酵素作用產生出新的分解物質。這些分解物質就產生了種種的生理活性。一類是吲哚類的化合物;一般認為吲哚對於乳癌等與荷爾蒙有關的癌症有預防的作用,也有助於肺癌和腸癌等癌症的預防。另一類是異硫氰酸酯類的化合物;它們也被視為具有抗癌能力的物質,特別是亞硝酸胺所誘發的癌症(如胃癌等)。

