ARCH模型
ARCH模型(Autoregressive conditional heteroskedasticity model)全稱“自回歸條件異方差模型”,解決了傳統的計量經濟學對時間序列變數的第二個假設(方差恆定)所引起的問題。這個模型是獲得2003年諾貝爾經濟學獎的計量經濟學成果之一。
起源
傳統的計量經濟學對時間序列變數的第二個假設:假定時間序列變數的波動幅度(方差)是固定的,不符合實際,比如,人們早就發現股票收益的波動幅度是隨時間而變化的,並非常數。這使得傳統的時間序列分析對實際問題並不有效。
羅伯特·恩格爾在1982年發表在《計量經濟學》雜誌(Econometrica)的一篇論文中提出了ARCH模型解決了時間序列的波動性(volatility)問題,當時他研究的是英國通貨膨脹率的波動性。
ARCH模型內涵
GARCH模型
GARCH模型
GARCH模型
GARCH模型以表示收益或者收益殘差,假設,此處(即獨立同分布,均符合期望為0,方差為1的常態分配)此處序列建模為
GARCH模型
GARCH模型(其中,即各期收益以非負數線性組合,常數項為正數。
GARCH模型
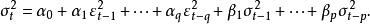
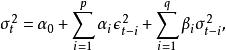
如果方差用ARMA模型來表示,則ARCH模型的變形為GARCH模型(波勒斯勒夫(Bollerslev),1986年)。
GARCH(p,q)模型為
GARCH模型IGARCH
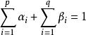
IGARCH模型對GARCH的參數做了限制。IGARCH(p,q)模型可以表示為:
GARCH模型
GARCH模型條件是:。
GARCH-M
GARCH-M模型把異方差項引入平均數方程式。一個簡單的GARCH-M(1,1)模型可以表示為:
GARCH模型
GARCH模型
GARCH模型殘差項定義為:
GARCH模型ARCH模型的套用
ARCH模型能準確地模擬時間序列變數的波動性的變化,它在金融工程學的實證研究中套用廣泛,使人們能更加準確地把握風險(波動性),尤其是套用在風險價值(Value at Risk)理論中,在華爾街是人盡皆知的工具。
ARCH模型的變形和發展
•波勒斯勒夫(Bollerslev)提出GARCH模型(Generalized ARCH);
•利立安(Lilien)提出ARCH-M模型;
•羅賓斯(Robbins)提出NARCH模型。
參見
•時間序列
•風險價值

