反應機理
在烷基化反應中,反應並不停止在一烷基化階段,由於生成的烷基苯比苯易於烷基化,還可以生成多烷基取代的芳烴。以苯的乙基化為例,除乙苯外,還生成二乙苯和三乙苯等。如果加入過量的苯,則可以提高乙苯的產率,抑制多乙苯的生成,這是因為傅列德爾-克拉夫茨烷基化反應是可逆反應。
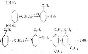
傅列德爾克拉夫茨反應如果苯與過量的溴乙烷反應,則生成二乙苯與三乙苯等。這裡,如果單純地按照苯環定位規律的話,二乙苯主要應是對位和鄰位的二乙苯異構體,三乙苯主要是1,2,4-三乙苯。事實上二乙苯主要是間位異構體,三乙苯主要是1,3,5-三乙苯(87%)。其原因還是在於傅列德爾一克拉夫茨烷基化反應是可逆的,反應是熱力學控制的,而間位異構體是熱力學上最穩定的。
在醯基化反應中,反應可以停止在一醯基化階段。例如,苯和乙酐反應,可得較純的苯乙酮。
烷基化反應和醯基化反應都是放熱反應。一般可用二硫化碳和硝基苯等作為傅列德爾一克拉夫茨反應的溶劑。
反應要求
不同的烷基化試劑和醯基化試劑需要不同的催化劑,其活性也有變化;同樣,芳香性化合物的結構不同,需要的催化劑也不同。也就是說,試劑、芳香性化合物、催化劑三者要匹配才是一個好的催化反應。三氯化鋁是常用的有效的催化劑。不同的反應需要催化劑的量也不同,取決於烷基化試劑和醯基化試劑的種類。
在醯基化反應中,醯基化試劑和產物芳酮中都含有羰基,能與催化劑配合,形成穩定的配合物,因此需要催化劑的量至少比醯基化試劑的量多才行。有的副產物還需要消耗催化劑,進行製備反應時必須考慮催化劑的合理用量。此外,這類催化劑極易吸水、水解或形成配合物而失去催化作用。
例如,三氯化鋁必須是乾燥無結塊的顆粒狀物,有潮解、結塊時不能使用,需要升華處理。在稱取三氯化鋁時,動作要迅速,儘量減少與空氣接觸的時間。烷基化和醯基化反應使用的儀器必須是乾燥的,反應裝置與大氣相通處需接乾燥管,反應試劑、溶劑也必須是乾燥的。
性質
烷基化反應在烷基化反應中用三個以上碳原子的直鏈伯鹵代烷的烷基化試劑時,特點為:
①烷基化反應親電試劑為碳正離子,有重排現象,故烷基化產物有異構化現象;
②烷基化反應為可逆反應故烷基苯可進行歧化反應即一分子烷基苯脫烷基變成苯另一分子烷基苯增加烷基變成二烷基苯;
③生成的烷基苯更容易進行烷基化反應故烷基化反應能生成多元取代產物;
④苯環上有強吸電子基如硝基、磺基時不易發生烷基化反應。醯基化反應催化劑的作用是形成醯基碳正離子。
特點
①醯基化反應不發生醯基異構現象;
②醯基化反應不能生成多元醯基取代產物;
③醯基化產物含有羰基能與路易斯酸絡合消耗催化劑催化劑用量一般至少是醯化試劑的二倍。 苯環上有強吸電子基時不發生醯基化反應。
套用
合成烷基苯的重要方法工業上廣泛使用如合成異丙苯、乙苯和十二烷基。
可以用於製備芳酮及長鏈正構烷基苯。

