概念
圖1齒寬是指齒輪齒的實體在軸向上的長度。如圖1中b所指尺寸。設計齒輪時齒寬由計算得到。
需要注意的是,齒寬和齒厚是兩個易混概念。齒厚指齒輪兩側齒廓間的弧線長度,即s所示長度。
齒寬及齒寬係數
計算齒寬就要用到齒寬係數。
齒寬
齒寬
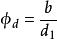
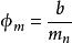
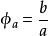
齒寬齒寬係數表示齒寬的相對值,如 , , 。
齒寬係數的選擇
圓柱齒輪
| 類型 | |
| 圓柱齒輪減速器系列規定的標準齒寬係數 | 0.2、0.25、0.3、0.4、0.5、0.6、0.8、1.0、1.2(JB 716-65) |
| 輕型減速器 | 0.2~0.4 |
| 一般用途的減速器 | 0.4 |
| 中載、中速減速器 | 0.4~0.6 |
| 重型減速器 | 0.8 |
開式齒輪傳動
齒寬
齒寬=0.1~0.3(或 =0.3~0.5)
金屬切削工具機
| 類型 | |
| 直齒輪 | 6~12 |
| 斜齒輪 | ≤20~25 |
| 變速箱中的滑移齒輪 | 4~8(或φ=0.1~0.2) |
一般機械
圖2 齒寬係數
齒寬一般機械中的 值可參考圖2。
圓弧齒輪齒寬
計算公式
圖3 圓弧齒輪
齒寬式中:a——中心距
註:b值對於人字齒輪系指半人字齒寬。
齒寬係數的選取
按照漸開線齒輪選取。
齒寬
齒寬通常,斜齒輪取 =0.4;人字齒輪取 =0.5~1.0;載荷穩定的傳動允許採用較大的齒寬係數,以減小中心距。
直齒圓錐齒輪齒寬
計算公式
齒寬
圖4 直齒圓錐齒輪
齒寬式中: ——外錐距
齒寬係數的選取
齒寬一般 =0.25~0.33,常用0.3。
雙曲面齒輪齒寬
計算公式:
齒寬式中:
齒寬——錐距
圖5 雙曲面齒輪
齒寬——大端端面模數
渦輪齒寬
計算公式:
齒寬式中:
圖6 渦輪蝸桿
齒寬——蝸桿分度圓直徑
齒寬對噪音的影響
試驗結果表明,隨著單位單位齒寬接觸載荷的增大,噪音級也增大。其次,即使單位接觸齒寬的載荷不變,而載荷本身大時,噪音也大。在高速齒輪運行中如將齒寬增大,齒槽中的空氣在單位時間內容積變化大,因而壓出空氣的速度大,所以噪音也大。

