點陣動力學的實驗研究方法
正文
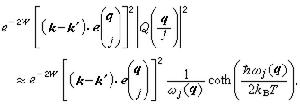
點陣動力學的實驗研究最主要的是直接測定點陣波的色散關係ωj(k)。晶體的許多性質都和函式ωj(k)有關,但能用以直接測定 ωj(k)的是利用電磁波或其他波與點陣波的相互作用。最重要的是中子非彈性散射──中子的德布羅意波與點陣波的相互作用。點陣振動對X 射線的散射 M.von勞厄等發現X射線在晶體上的衍射是1913年發表的,和M.玻恩、P.J.W.德拜關於點陣動力學的奠基性著作的發表(1912)幾乎同時。隨即在1914年,德拜、E.薛丁格就開始研究點陣振動對X射線衍射的影響。1925年,I.沃勒的工作對這問題作了基本上完備的理論處理。為了敘述簡單,在這裡只討論點陣的布喇格衍射。入射波矢為k的X射線,其散射到波矢k'的波的振幅,應正比於
, (1)
, (2)
;這裡 m是晶體原子的質量,
是波矢為q、屬於第 j支的點陣波的振幅,
表示這個點陣波振動的方向(見點陣動力學),它其實是反映了陣點偏離平衡位置的位移在k方向的投影。在熱平衡時
,(3)
,
同樣,展開的一級項給出
類型的項,把三級、五級、……等奇次項展開中類似的項也歸在一起,得到散射振幅正比於 
, (5)
隨時間變化的特點,可得到與(5)式對應的另一對限制條件:
с|k|是波矢為k的X射線圓頻率。(5)、(6)兩式相應於X射線光子從波矢k 散射到k┡過程中,吸收(或發射)一個
聲子的能量守恆和動量守恆關係。用同樣辦法考慮高於一次的展開式中的項,會得到多個聲子參加的散射過程的能量和動量關係。現在只討論單聲子過程,式(5)可知,由於吸收或發射聲子,點陣的勞厄照相上會出現新的點。J.拉瓦耳在1938年第一次從實驗上證實了這種散射。原則上,結合(5)、(6)兩式,分析散射的X射線的波矢頻率關係,可以得到點陣波的色散關係ωj(q)。由於X 射線的波矢的數量級和晶體倒易點陣點陣矢的數量級相同,因此還可以得到整個布里淵區中的色散關係。但是,由於X射線光子的能量(約1014電子伏)比點陣波聲子的能量(約0.01電子伏)大得多,實際上套用式(6)來測量是很困難的。只是從40年代末期以來,才能使用這方向測定聲子色散關係,也已取得了一些成果。 光的吸收和散射 點陣振動對光的吸收(見點陣動力學)和散射(見固體中的光散射),也有類似於式(5)、(6)的動量、動能關係,同樣可用來獲得聲子色散關係的信息。紅外和可見光光子的能量只比聲子能量大一兩個數量級,因此可以得到較精確的解析度。但由於相應的光子波矢太小(約104厘米-1),或者說光波的波長比點陣常數大得很多,因此,它涉及的聲子只能是長波的聲子,得到的只是布里淵區中央很小一個範圍內的信息。它們是不能作為研究整個點陣波色散關係的方法的。
中子非彈性散射 比起光子來,中子對探測點陣振動要合適得多,例如,能量為0.01電子伏的中子,其德布羅意波長是2.86埃,與點陣常數同一數量級。對多數材料來說,中子又有很深的穿透深度。1944年曾有人最先考慮了在中子波和晶體散射中發射或吸收聲子的過程。1954年,G.普拉切克等的論文對這問題作了透徹的理論處理。接著B.N.布羅克豪澤在1955年首先進行了用中子衍射測定點陣振動譜的實驗(見圖)。從此,這方面的工作就迅速的開展,取得豐碩的成果。關於中子散射的機理與實驗技術見中子衍射,這裡只討論點陣波色散關係的測量。
點陣動力學的實驗研究方法
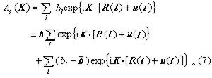
bl是l陣點上原子核的散射因子,
是 bl的平均值。式(7)中第一項通常叫相干散射部分,第二項叫非相干散射部分。 對相干散射,前面介紹的X 射線散射的理論完全適用。點陣振動對布喇格散射部分的影響是用德拜-沃勒因子表達的減弱。用於測定點陣波色散關係的是單聲子散射過程。對吸收一個
聲子的過程說,動量、能量守恆關係是:
(8)
聲子的過程:
。 (9)
,

非相干散射部分,沒有動量守恆關係,只有能量守恆的要求
;因此不能從此得出色散關係。但顯然從它仍可估計點陣振動頻譜。對某些無序合金體系,非相干散射部分是常用的。 中子非彈性散射還可以提供聲子壽命的數據。如上述,在相干散射部分中,給定方向上的散射中子能譜是分立的,即對應於幾個無限窄的峰。如考慮到由於非諧相互作用或其他相互作用,聲子的壽命是有限的,這些峰便成為有一定寬度的峰,峰寬的倒數反映聲子的壽命。所以,如改進入射中子束的單色性和儀器的解析度,就可以從中子散射數據中直接測得聲子壽命。
大約有二十餘種元素對中子有較大的吸收截面,對由它們構成的晶體,中子非彈性散射技術比較困難。另外,對表面模式、局域模式的研究,中子非彈性散射技術也不很有效。
超導隧道結用於研究聲子譜 超導隧道結的單粒子隧道電流-電壓特性,反映了超導體的隧道態態密度和隧道躍遷矩陣元的特性(見超導體的單電子隧道效應)。對電子-聲子作用比較弱的體系(即弱耦合超導體,例如鋅、鎵、鎘等)來說,它與BCS理論(見超導微觀理論)所預言的單粒子激發態態密度以及基本上是常數的隧道躍遷矩陣元符合得很好。但對電子-聲子作用比較強的體系(即強耦合超導體,如鉛、汞等)來說,有某些附加的結構。理論分析說明,這些電流-電壓特性的附加結構反映了電子-聲子相互作用,從中子得到函式 α2(ω)F(ω),F(ω)是聲子的態密度(即點陣波頻譜),α2(ω)是電子-聲子相互作用矩陣元。如果α2(ω)是已知的,則可由此測定 F(ω)。用這種方法已得到一系列超導元素和合金的聲子譜。與中子非彈性散射直接測得的聲子譜相比,有些符合得好,有些就相差較遠。
超導隧道結在研究點陣動力學上的作用可能最重要的是它能作為聲子的發生器和探測器。考慮一個對稱的超導體-絕緣體-超導體結,當所加偏壓高於
(2墹是超導體的能隙,e是電子電荷)時,隧道過程是庫珀對被破壞,在絕緣體兩側各產生一個單粒子激發態。穿過絕緣體的那個粒子首先通過發射聲子,弛豫到能隙邊上。然後再通過發射能量等於能隙的聲子,與另一個單粒子“複合”成庫珀對。所以,這時隧道結是一個聲子發生器,發射的聲子譜是在上限為
的很寬的譜分布上疊加一個頻率近於
的窄峰,這裡,V是所加偏壓。假如所加的偏壓是一個直流電壓
加上一個交流的小電壓Vac,那么在發射的聲子流中,交流成分便是一個頻率很窄(寬度約
)的譜。超導隧道結也是一個聲子探測器。能量大於2墹的聲子才能破壞庫珀對。因此如果在結上所加的偏壓小於2墹,入射的能量大於2墹的聲子就會顯著地改變結的電流電壓回響,而能量小於2墹的聲子則只有很小的作用。 其他的聲子發生器和探測器 利用雷射以及雷射與極性晶體的相互作用,是最有希望成為一種相干的和單色的聲子發生器的技術;迄今已有某些進展。在檢測方面,一種有效的方法是利用晶體中離子的塞曼分裂能級。頻率與這些能級差共振的聲子,會改變這些塞曼能級上的粒子數分布。粒子數分布的改變可用光學方法(圓二色性、螢光等)探測出來。因此,這提供了可調的選頻的聲子探測器。
當然,最簡單的聲子發生器是一個熱脈衝,這產生一個熱分布的聲子流脈衝。最簡單的聲子接收器是一個量熱器(通常是超導膜)。
聲子譜儀技術 利用現代電子技術和前面簡單介紹的聲子發生器和探測器,自60年代中期以來,開始發展出一些有點類似光譜技術的聲子譜儀技術。目前,它們基本上是一種“飛行時間”式的譜儀。例如在晶體的一邊,蒸發上一個聲子發生器(例如一個超導隧道結),另一邊放上一個探測器。測量聲子流中不同頻率成分到達探測器的時間,便可得到晶體中的聲子色散關係。測量不同距離(探測器和發生器的距離)的聲子流成分,可得到聲子的壽命,它和晶體中各種因素相互作用的知識,等等。無疑的,在將來,聲子譜儀技術還會得到更多的發展。
