點陣動力學
正文
研究晶體中的原子在平衡位置附近的振動和這些振動對晶體性質的影響的學科。它是固體物理的基礎之一。
歷史
點陣動力學的研究始於20世紀初。1907年,A.愛因斯坦發表了題為“普朗克輻射理論與比熱的理論”的論文,他把N個原子組成的晶體,看作是3N個相互獨立的具有同一頻率的諧振子;並認為這些振子的能量也應按普朗克的理論量子化,從而說明在溫度趨於絕對零度時,晶體中由原子運動貢獻的比熱趨向於零這一實驗事實。愛因斯坦的工作不僅是點陣動力學的開始,而且在量子理論的發展上也起了重要作用。但他所得到的熱容公式在低溫下接近於零的趨向顯得比實驗結果快(見愛因斯坦模型)。P.J.W.德拜在1912年認識到,愛因斯坦熱容公式與實驗不大符合的原因在於沒有考慮到晶體中原子振動頻率並不是完全相同的。德拜把晶體當成連續媒質來求得振子頻率分布,得到了更符合實驗結果的比熱容公式,德拜的理論能比較簡明地概括實驗材料,在推動點陣動力學的發展上,起過較大作用(見德拜模型)。同年,M.玻恩和T.von卡門發表了題為“論空間點陣的振動”的論文,提出晶體中的原子振動應以點陣波的形式存在。他們的論文包含了現代點陣動力學的大部分基本概念和原則,是點陣動力學的奠基性著作。從20年代到40年代,人們進一步完善了點陣動力學的基本理論;點陣振動對晶體的熱力學性質、熱傳導、電導、介電和光學性質、X射線衍射等方面的理論和實驗研究也發展了起來。這些都比較完全地總結在玻恩和黃昆的專著《晶體點陣的動力理論》一書中。50年代以來,點陣動力學在實驗研究上有了很大的進步,特別是利用中子非彈性散射直接測定點陣振動的色散關係(見點陣動力學的實驗研究方法)。
研究內容
點陣動力學主要研究以下幾個方面。
基本概念 如果不考慮晶體邊界的影響,可以認為討論的是一個無限的晶體點陣。設每個元胞中有 s個原子,元胞L中第k個原子的位置記作
,它的平衡位置記作
,r(L是元胞L的位置的點陣矢,r(k)是第k個原子在元胞L中的相對位置。 原子對平衡位置的偏離記作
。在絕熱近似下,可以認為晶體原子相互作用的勢能僅是原子的位置的函式,原子的平衡位置是它的極小值。把勢能函式展開為對平衡位置的偏離的級數,顯然,一次項應為零;如果只考慮到二次項,便得到勢能函式嗞的二次近似展開式
(1)
是
的三個分量。
稱為力常數,這個近似稱為簡諧近似。顯然,它應該只依賴於L-L┡,而不是分別依賴於L和L┡。從式(1)可得到點陣中原子的運動方程
, (2)
是第k個原子的質量。這是一個無窮維的周期性的方程。顯然,它有下列波動形式的解
; (3)
。 (4)
, (5)
稱動力矩陣。式 (4)有解的條件是係數行列式為零:
, (6)
;反之
。因此,給定一個波矢k,從式(6)可得到3s個頻率ω=ωj(k),(j=1,…,3s),把每個頻率代入式(4)得到一支點陣波:
, (7)
是指這支波矢為k,頻率為 ωj的點陣波的振幅。
是一個歸一化的3s維的矢量
的分量,它表示振動的方向。這樣得到的3s支點陣波中,其中有三支是與把晶體看作連續媒質時的三支彈性波相對應,它們的頻率ωj(k)在k趨於零時應趨於零。這三支稱聲頻支或點陣波的聲頻模。另外的3s-3支稱光頻支或點陣波的光頻模。k→0時的光頻支反映了元胞中原子的相對振動。圖1是三個對稱方向上矽的點陣波振動頻率與波矢的關係。
點陣動力學兩個波矢相差一個倒易點陣矢量的點陣波是等效的,因此可把點陣波的波矢 k的取值範圍限于波矢空間的特定的多面體,它稱為第一布里淵區。k的允許值取決於對解所加的邊界條件。很顯然,對足夠大的晶體來說,選擇不同的邊界條件對從解所得到的晶體的“體”的性質是不會有影響的。H.韋耳(1911)、W.萊德曼(1944)對此給出過嚴格的數學證明。通常,都採用玻恩和T.von卡門的做法,想像把晶體取成為每邊有L個元胞的立方體,要求該立方體相對的面上的解相等。這個邊界條件限制了波矢k的取值為
,m1、m2和m3是整數b1、B2和B3是點陣的倒易點陣的基矢。顯然,在第一布里淵區中k的取值可以有L3個,即這個立方體所包含的元胞數。每個k有3s個點陣波,因此共有 3sN(N=L3)個點陣波。晶體中任一個原子的運動可以用這3sN個點陣波的疊加來表達。注意到這個立方體中包含有sN個原子,有3sN個運動自由度;所以用點陣波來表達可以看作是對這個振動系統的一個坐標變換,從這個觀點,就很容易把點陣動力學的理論發展成為量子理論。
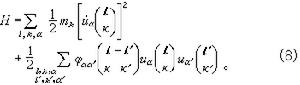
在簡諧近似下,這個晶體的哈密頓量是

(9)
的定義和滿足的條件,就能得到
。 (10)
這是 3Ns個相互獨立的諧振子組成的系統的哈密頓量。振子有頻率分布ωj(k)。因此,通常說點陣波是點陣振動的簡正模。當然,簡正模可有幾種不同的但是是等效的選法。這裡選的是行波式的簡正模,在上述坐標變換的基礎上,如果把簡正坐標
及
當成量子力學的力學量,不難建立起點陣動力學的量子力學形式。
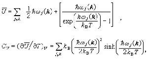
點陣振動的頻譜與點陣的熱力學函式 有了ωj(k),就可求得在簡諧近似下點陣的熱力學函式。例如內能
和定容熱容Dv就是
(11)

點陣動力學
(12)
來決定。因此,德拜譜只有一個參數ωD。把gD(ω)代入Dv的表達式,在T比較低時,可得到點陣定容熱容的T3規律
,
稱德拜溫度。嘷D作為材料點陣振動頻率的一個粗略估計,有一定參考意義。但如果真正用德拜模型的熱容公式來處理實驗測得的比較精確的熱容數據,就會發現得到的嘷D乃是溫度的函式,考慮到德拜的頻譜與實際頻譜的差異很大,這是很自然的。圖3給出的是這樣處理鉀得到的結果,所以,必須注意德拜模型的適用性。
點陣動力學但只基於簡諧近似來計算晶體的熱力學性質仍是不夠的(見非諧相互作用)。
極性振動與晶體的介電性質和光學性質 離子晶體中,正負離子的相對位移會產生電偶極矩。長波的光頻模相應於元胞中原子的相對移動,可以按它是否產生電偶矩來把它區分為極性振動和非極性振動兩類。極性振動必定伴隨著巨觀的電磁場。因此,必須同時考慮點陣運動的方程和電磁場的方程。黃昆(1951)最先對立方晶體元胞中有兩個離子的情況作了系統的處理。這時,應有三個光頻支:一個縱波和兩支橫波,都是極性振動。縱波與橫波有一個顯著不同,縱波會產生束縛電荷,出現巨觀的庫侖場,所以長波的縱光頻支比橫光頻支有較高的頻率。可以證明,在這種情況,波矢趨於零的縱光頻支頻率
與橫光頻支頻率
之間有下列關係
, (13)
點陣動力學點陣振動的色散關係與力模型 50年代以來,有了準確測定整個布里淵區中點陣波的色散關係 ωj(k)的方法(見點陣動力學的實驗研究方法),由此提供了定量地檢驗這些理論的可能性。除了求解的數學技巧外,這中間最主要的是關於點陣原子間的相互作用的力模型。
最易想到的是所謂“剛性離子”模型,把晶體勢看作是各對原子之間的勢能之和,並認為它只決定於這個原子之間的距離:
。 (14)
對微小位移偏離作展開,每對原子之間便有兩個力常數──徑向的和切向的。經驗證明,對固態惰性元素和簡單金屬來說,適當選擇力常數,剛性離子模型能給出與某些實驗相當符合的結果。從嚴格的剛性離子模型出發,可導出彈性常數應滿足柯西關係;但對多數金屬(包括鹼金屬)來說,柯西關係都符合得相當不好。所以需要對這問題作進一步研究。
對離子晶體和價鍵晶體,經驗證明,殼層模型更合適一些。它把每個原子(離子)看作是由一剛性的“實”和一帶電的“殼”組成,實和殼之間近似地由一各向同性的力常數表征其聯繫;同一原子的實和殼之間也可相對移動;不同原子之間的相互作用則包括各自的實和殼相互之間的各種組合。殼層模型是一個唯象的模型。從能帶論和多體理論的觀點也提供了它的適用性的一定理論基礎。
相變和點陣振動 F.林德曼(1910)曾提出,固體的熔化發生在點陣振動的平均振幅與原子之間的距離可以比擬的情況下。實驗數據表明這個觀念有一定的合理性,同一類固體的這個比例還常常是差不多的。但一個嚴格的關於熔化與點陣振動之間的關係的理論還沒有建立起來。在結構相變(見固體中的相變)中,點陣振動起著關鍵的作用。
配圖
相關連線
參考書目
M. Born and T.von Karman, Physik Z.,J.-Nr.13,S. 297,1912. M.Born and K.Huang, Dynamical Theory of CrystalLαttices,Oxford Univ.Press, London and New York, 1954.

