愛因斯坦模型
愛因斯坦套用量子論的觀點,於1907年提出的計算固體熱容的原子振動的簡單模型。愛因斯坦模型指出:①固體內原子均以同一特徵頻率v振動,②每一原子有三個振動自由度,③可以將黑體輻射的普朗克公式套用到固體中原子的振動上去,且每一振動自由度的振子作為線性振子而具有平均能量
。套用這個模型得出固體的定容摩爾熱容
,
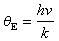
稱愛因斯坦特徵溫度;而R=N0k是摩爾氣體常數;k、T分別是玻耳茲曼常數和熱力學溫度;h是普朗克常數。當T》θE時得CV≈3R,同用能量均分定理得到的結果一致。當T
θE時,
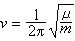
,隨著T→0而指數地趨於零,同實驗結果大致相符,解決了杜隆-珀替定律不能解釋的低溫下固體熱容同溫度有關的實驗事實,但在低溫下畢竟下降得快了些。更正確的理論見德拜模型。這是因為愛因斯坦模型只考慮了一種頻率,忽略了其他振動頻率。雖然這樣,也已說明了這個簡單模型的特有成就。 不同材料的固體各有其特徵頻率v, 所以θE的值不同,熱容曲線也不同,但在高溫時都趨於同一個常數3R,同材料的本身性質無關。由於諧振子的頻率
,即v同原子間內在的彈性力係數 µ及原子質量m的比值有關,故不同元素的Cv值趨於常數3R時的溫度不同。對輕元素如鈹、硼等,因為µ/m值大而θE也大,故在室溫時Cv還未達到3R的數值。 
