定義
在工程實際問題的最佳化設計中,所列的目標函式往往很複雜,為了使問題簡化,常常將目標函式在某點鄰域展開成泰勒多項式來逼近原函式。
二元函式的黑塞矩陣
黑塞矩陣
黑塞矩陣
黑塞矩陣
黑塞矩陣
黑塞矩陣
黑塞矩陣
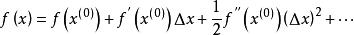
黑塞矩陣由高等數學知識可知,若一元函式 在 點的某個鄰域內具有任意階導數,則 在 點處的泰勒展開式為: ,其中 , 。
黑塞矩陣
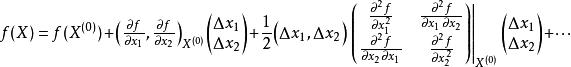
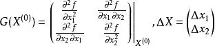
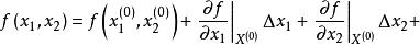
黑塞矩陣二元函式 在 點處的泰勒展開式為:
黑塞矩陣
黑塞矩陣
黑塞矩陣其中, 。
將上述展開式寫成矩陣形式,則有:
黑塞矩陣即:
黑塞矩陣其中:
黑塞矩陣
黑塞矩陣
黑塞矩陣
黑塞矩陣
黑塞矩陣
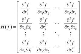
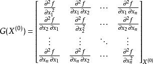
黑塞矩陣是 在 點處的黑塞矩陣。它是由函式 在 點處的二階偏導數所組成的方陣。
多元函式的黑塞矩陣
黑塞矩陣
黑塞矩陣將二元函式的泰勒展開式推廣到多元函式,則 在 點處的泰勒展開式的矩陣形式為:
黑塞矩陣其中:
黑塞矩陣
黑塞矩陣
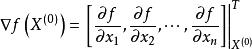
黑塞矩陣(1) ,它是 在 點處的梯度。
黑塞矩陣
黑塞矩陣
黑塞矩陣(2) 為函式 在 點處的黑塞矩陣。
黑塞矩陣
黑塞矩陣黑塞矩陣是由目標函式 在點X處的二階偏導數組成的 階對稱矩陣。
對稱性
黑塞矩陣
黑塞矩陣
黑塞矩陣
黑塞矩陣
黑塞矩陣如果函式 在 區域內二階連續可導,那么 黑塞矩陣 在 內為對稱矩陣。
黑塞矩陣原因:如果函式 的二階偏導數連續,則二階偏導數的求導順序沒有區別,即
黑塞矩陣
黑塞矩陣
黑塞矩陣
黑塞矩陣則對於矩陣 ,有 ,所以 為對稱矩陣。
利用黑塞矩陣判定多元函式的極值
定理
黑塞矩陣
黑塞矩陣設n多元實函式 在點 的鄰域內有二階連續偏導,若有:
黑塞矩陣並且
黑塞矩陣則有如下結果:
黑塞矩陣
黑塞矩陣(1)當A正定矩陣時, 在 處是極小值;
黑塞矩陣
黑塞矩陣(2)當A負定矩陣時, 在 處是極大值;
黑塞矩陣(3)當A不定矩陣時, 不是極值點。
黑塞矩陣(4)當A為半正定矩陣或半負定矩陣時, 是“可疑”極值點,尚需要利用其他方法來判定。
實例
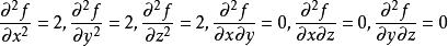
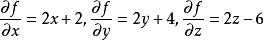
黑塞矩陣求三元函式的極值。
黑塞矩陣
黑塞矩陣解:因為,故該三元函式的駐點是。
黑塞矩陣又因為,
黑塞矩陣故有:
黑塞矩陣
黑塞矩陣因為A是正定矩陣,故是極小值點,且極小值。

