又稱:爭光黴素、平陽黴素
為白色粉末,在水或甲醇中易溶,水溶液呈弱酸性,較穩定。
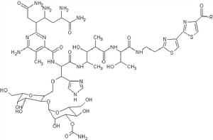
為放線菌streptomyces verticillus 和72號放線菌培養液中分理處的一類水溶性鹼性糖肽抗生素。用於臨床的是混合物。其中以 bleomycin A5為主要成分,此外尚有bleomycin A2、bleomycin B2及培洛黴素(peplomycin)混入其中。peplomycin 為 bleomycin 的衍生物。 bleomycin 一直胸腺嘧啶核苷酸摻入DNA,從而干擾DNA的合成。對鱗狀上皮細胞癌、宮頸癌和腦

