定義
階數高於一的微分方程通稱為高階微分方程。
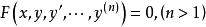
高階微分方程形如 的方程稱為高階微分方程,式中F是所有變元的連續函式。
求解方法
一般來說,高階微分方程的求解比較複雜,在此僅介紹幾種容易求解的類型,這幾種方程的解法思路主要是利用變換將高階方程化為較低階的方程,將這種方法稱為降階法(method of reduction of order)。
一
高階微分方程型的微分方程
高階微分方程形如的方程,這類方程只要逐次積分n次就可以得到其通解,每積分一次得到一個任意常數,在通解中含有n個任意常數。
二
高階微分方程型的微分方程
高階微分方程形如型的方程,這類方程的特點是右端函式不顯含未知函式y。
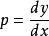
高階微分方程
高階微分方程
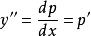
高階微分方程如果設,則,微分方程變為,這是一個關於變數x,p的一階微分方程。
高階微分方程
高階微分方程
高階微分方程
高階微分方程
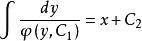
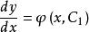
高階微分方程設其通解為,由於,因此又得到一個一階微分方程,兩邊積分,便得到方程式的通解為。
三
高階微分方程型的微分方程
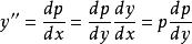
高階微分方程形如型的方程,這類方程的特點是右端函式不顯含自變數x。
高階微分方程
高階微分方程
高階微分方程
高階微分方程
高階微分方程
高階微分方程
高階微分方程設,這時可以將y看作新的自變數,p作為y的函式,則有,於是微分方程就變為,這是一個關於變數y,p的一階微分方程,設它的通解為,即,將方程分離變數並積分,便得到的通解為。

