簡介
數學上,高斯消元法(或譯:高斯消去法),是線性代數規劃中的一個算法,可用來為線性方程組求解。但其算法十分複雜,不常用於加減消元法,求出矩陣的秩,以及求出可逆方陣的逆矩陣。不過,如果有過百萬條等式時,這個算法會十分省時。一些極大的方程組通常會用疊代法以及花式消元來解決。當用於一個矩陣時,高斯消元法會產生出一個“行梯陣式”。高斯消元法可以用在電腦中來解決數千條等式及未知數。亦有一些方法特地用來解決一些有特別排列的係數的方程組。
歷史
高斯消元法該方法以數學家高斯命名,由拉布扎比.伊丁特改進,發表於法國但最早出現於中國古籍《九章算術》,成書於約公元前150年。
原理
內容
消元法是將方程組中的一方程的未知數用含有另一未知數的代數式表示,並將其代人到另一方程中,這就消去了一未知數,得到一解;或將方程組中的一方程倍乘某個常數加到另外一方程中去,也可達到消去一未知數的目的。消元法主要用於二元一次方程組的求解。
核心
1)兩方程互換,解不變;
2)一方程乘以非零數k,解不變;
3)一方程乘以數k加上另一方程,解不變 。
求逆矩陣具體例子
例如,考慮下面的矩陣
高斯消元法為了找到這個矩陣的逆矩陣,擴充以下矩陣:
高斯消元法通過計算,可以將增廣矩陣轉換為簡化行階梯形式,即把左邊轉化為單位矩陣:
高斯消元法求得B為A的逆矩陣。
其他套用
找出逆矩陣
高斯消元法可以用來找出一個可逆矩陣的逆矩陣。設A 為一個N * N的矩陣,其逆矩陣可被兩個分塊矩陣表示出來。將一個N * N單位矩陣 放在A 的右手邊,形成一個N * 2N的分塊矩陣B = [A,I] 。經過高斯消元法的計算程式後,矩陣B 的左手邊會變成一個單位矩陣I ,而逆矩陣A ^(-1) 會出現在B 的右手邊。
假如高斯消元法不能將A 化為三角形的格式,那就代表A 是一個不可逆的矩陣。
套用上,高斯消元法極少被用來求出逆矩陣。高斯消元法通常只為線性方程組求解。
計出秩的基本算法
高斯消元法可套用在任何m * n的矩陣A。在不可減去某數的情況下,我們都只有跳到下一行。以一個6 * 9的矩陣作例,它可以變化為一個行梯陣式:
1 * 0 0 * * 0 * 0
0 0 1 0 * * 0 * 0
0 0 0 1 * * 0 * 0
0 0 0 0 0 0 1 * 0
0 0 0 0 0 0 0 0 1
0 0 0 0 0 0 0 0 0
而矩陣中的 *' 是一些數字。這個梯陣式的矩陣T 會有一些關於A的資訊:
A 的秩是5,因為T 有5行非0的行;
A 的列的向量空間,可從A 的第1、3、4、7和9列中得知,其數值在矩陣T 之中;
矩陣中的 *' 表示了A 的列可怎樣寫為列中的數的組合。
分析
高斯消元法
高斯消元法高斯消元法的算法複雜度是;這就是說,如果係數矩陣的是n × n,那么高斯消元法所需要的計算量大約與成比例。
高斯消元法可用在任何域中。
高斯消元法對於一些矩陣來說是穩定的。對於普遍的矩陣來說,高斯消元法在套用上通常也是穩定的,不過亦有例外。
偽代碼
高斯消元法的其中一種偽代碼:
這個算法和之前談及的有點兒不同,它由絕對值最大的部分開始做起,這樣可以改善算法上的穩定性。將經過調換後的第一列作為起點,這算法由左至右地計算。每作出以下兩個步驟,才跳到下一列:
1.定出每列的最後一個非0的數,將每行的數字除以該數,使到每行的第一個數成為1;
高斯消元法2.將每行的數字減去第一行的第一個數的某個倍數。
所有步驟完成後,這個矩陣會變成一個行梯陣式,再用代入法就可解決這個方程組。
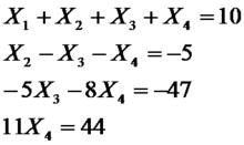
線性方程組其實是相當容易解決的,基本的思想就是消元。但是當未知數較多時,解起來也蠻頭疼的。在這裡向大家介紹高斯消元法。例如解如下四元一次方程組:
高斯消元法除去各未知數,將各數排在一起,成為矩陣:
高斯消元法為方便起見,用r2+r1表示把第一行各數加到第二行對應數上。
r2-2*r1, r3-3*r1, r4-4*r1,r3+4*r2, r4+3*r2,r4-2*r3, 可得:
高斯消元法化為方程組形式則為:
高斯消元法從而,可得:
X4=4
X3=3
X2=2
X1=1.
說明:對於矩陣採取的變換的合理性,可對照相應方程組的變換加以理解。

