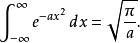
定義
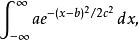
高斯函式的形式為:
高斯函式其中 a、 b與 c為實數常數,且 a> 0。
c= 2的高斯函式是傅立葉變換的特徵函式。這就意味著高斯函式的傅立葉變換不僅僅是另一個高斯函式,而且是進行傅立葉變換的函式的標量倍。
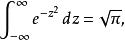
高斯函式屬於初等函式,但它沒有初等不定積分。但是仍然可以在整個實數軸上計算它的廣義積分:
高斯函式相關定義
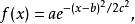
高斯函式的圖形在形狀上像一個倒懸著的鐘。參數a指高斯曲線的峰值,b為其對應的橫坐標,c即標準差(有時也叫高斯RMS寬值),它控制著“鍾”的寬度。
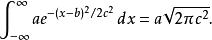
高斯函式的積分
任意高斯函式的積分是:
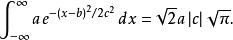
高斯函式另一種形式是:
高斯函式其中 f必須是嚴格積分的積分收斂。
證明:
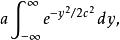
積分
高斯函式對於某些實常數a,b,c> 0可以通過將其放入高斯積分的形式來計算。首先,常數 a可以簡單地從積分中分解出來。接下來,積分變數從 x變為 y= x- b。
高斯函式
高斯函式
高斯函式然後,使用高斯積分標識:
高斯函式有:
高斯函式套用
高斯函式的不定積分是誤差函式。在自然科學、社會科學、數學以及工程學等領域都有高斯函式的身影,這方面的例子包括:
•在統計學與機率論中,高斯函式是常態分配的密度函式,根據中心極限定理它是複雜總和的有限機率分布。
•高斯函式是量子諧振子基態的波函式。
•計算化學中所用的分子軌道是名為高斯軌道的高斯函式的線性組合(參見量子化學中的基組)。
•在數學領域,高斯函式在埃爾米特多項式的定義中起著重要作用。
•高斯函式與量子場論中的真空態相關。
•在光學以及微波系統中有高斯波束的套用。
•高斯函式在圖像處理中用作預平滑核(參見尺度空間表示)。

