定義
在數學中,無理數是所有不是有理數字的實數,後者是由整數的比率(或分數)構成的數字。當兩個線段的長度比是無理數時,線段也被描述為不可比較的,這意味著它們不能“測量”,即沒有長度(“度量”)。
常見的無理數有:圓周長與其直徑的比值,歐拉數e,黃金比例φ等等。
可以看出,無理數在位置數字系統中表示(例如,以十進制數字或任何其他自然基礎表示)不會終止,也不會重複,即不包含數字的子序列。例如,數字π的十進制表示從3.14159265358979開始,但沒有有限數字的數字可以精確地表示π,也不重複。必須終止或重複的有理數字的十進制擴展的證據不同於終止或重複的十進制擴展必須是有理數的證據,儘管基本而不冗長,但兩種證明都需要一些工作。數學家通常不會把“終止或重複”作為有理數概念的定義。
無理數也可以通過非終止的連續分數來處理。
無理數 無理數是指實數範圍內不能表示成兩個整數之比的數。簡單的說,無理數就是10進制下的無限不循環小數,如圓周率、 等。
而有理數由所有分數,整數組成,總能寫成整數、有限小數或無限循環小數,並且總能寫成兩整數之比,如21/7等。
歷史
無理數 畢達哥拉斯(Pythagoras,約公元前580年至公元前500年間)是古希臘的大數學家。他證明許多重要的定理,包括後來以他的名字命名的畢達哥拉斯定理(勾股定理),即直角三角形兩直角邊為邊長的正方形的面積之和等於以斜邊為邊長的正方形的面積。畢達哥拉斯將數學知識運用得純熟之後,覺得不能只滿足於用來算題解題,於是他試著從數學領域擴大到哲學,用數的觀點去解釋一下世界。經過一番刻苦實踐,他提出“萬物皆為數”的觀點:數的元素就是萬物的元素,世界是由數組成的,世界上的一切沒有不可以用數來表示的,數本身就是世界的秩序。
公元前500年,畢達哥拉斯學派的弟子希伯索斯(Hippasus)發現了一個驚人的事實,一個正方形的對角線與其一邊的長度是不可公度的(若正方形的邊長為1,則對角線的長不是一個有理數),這一不可公度性與畢氏學派的“萬物皆為數”(指有理數)的哲理大相逕庭。這一發現使該學派領導人惶恐,認為這將動搖他們在學術界的統治地位,於是極力封鎖該真理的流傳,希伯索斯被迫流亡他鄉,不幸的是,在一條海船上還是遇到畢氏門徒。被畢氏門徒殘忍地投入了水中殺害。科學史就這樣拉開了序幕,卻是一場悲劇。
無理數 希伯索斯的發現,第一次向人們揭示了有理數系的缺陷,證明了它不能同連續的無限直線等同看待,有理數並沒有布滿數軸上的點,在數軸上存在著不能用有理數表示的“孔隙”。而這種“孔隙”經後人證明簡直多得“不可勝數”。於是,古希臘人把有理數視為連續銜接的那種算術連續統的構想徹底地破滅了。不可公度量的發現連同芝諾悖論一同被稱為數學史上的第一次數學危機,對以後2000多年數學的發展產生了深遠的影響,促使人們從依靠直覺、經驗而轉向依靠證明,推動了公理幾何學和邏輯學的發展,並且孕育了微積分思想萌芽。
不可約的本質是什麼?長期以來眾說紛紜,得不到正確的解釋,兩個不可通約的比值也一直認為是不可理喻的數。15世紀義大利著名畫家達.芬奇稱之為“無理的數”,17世紀德國天文學家克卜勒稱之為“不可名狀”的數。
然而真理畢竟是淹沒不了的,畢氏學派抹殺真理才是“無理”。人們為了紀念希伯索斯這位為真理而獻身的可敬學者,就把不可通約的量取名“無理數”——這就是無理數的由來。
分數=有限小數+無限循環小數,無限不循環小數是無理數 由無理數引發的數學危機一直延續到19世紀下半葉。1872年,德國數學家戴德金從連續性的要求出發,用有理數的“分割”來定義無理數,並把實數理論建立在嚴格的科學基礎上,從而結束了無理數被認為“無理”的時代,也結束了持續2000多年的數學史上的第一次大危機。
證明方法
歐幾里得《幾何原本》中提出了一種證明無理數的經典方法:
證明: √2是無理數
無理數 假設 不是無理數
無理數 ∴ 是有理數
無理數
無理數
無理數
無理數
無理數 令 ( 、 互質且 , )
無理數 兩邊平方得
無理數 即
無理數 通過移項,得到:
無理數 ∴ 必為偶數
無理數 ∴ 必為偶數
無理數 令
無理數 則
無理數 ∴
無理數 化簡得
無理數 ∴ 必為偶數
無理數 ∴ 必為偶數
無理數
無理數 綜上, 和 都是偶數
無理數
無理數
無理數
無理數 ∴ 、 互質,且 、 為偶數
矛盾 原假設不成立
無理數 ∴ 為無理數
拓展
無理數
無理數
無理數
無理數 證明 是無理數(整數),互素。
無理數 假設 則存在
無理數
無理數
無理數
無理數 則a為偶數,設 , 為正整數 代人上式有
無理數
無理數 則b同樣是偶數,與條件(,)為互質的最小整數是相互矛盾的
那么假設是不成立的
無理數 則
無理數 成立,那么 必為無理數。
實例
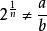
無理數 如果正整數N不是完全平方數,那么不是有理數(是無理數)。
無理數
無理數 證明:若假設是有理數,不妨設,其中p與q都是正整數(不一定互質。若假定p、q互質則證法稍有變動)。
無理數
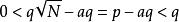
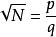
無理數 設的整數部分為a,則有不等式成立。兩邊乘以q,得
無理數 因p、q、a都是整數,p-aq也是一個正整數。
無理數 再在上述不等式的兩邊乘以,得
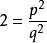
無理數 即:
無理數 顯然,qN-ap也是一個正整數。
無理數
無理數
無理數
無理數
無理數 於是我們找到了兩個新的正整數和,它們滿足,即,並且有。
無理數
無理數
無理數
無理數 重複上述步驟,可以找到一系列的使得且。因該步驟可以無限重複,意味著均可無限減小,但這與正整數最小為1矛盾。
無理數 因此假設錯誤,不是有理數。

