成份
本品主要成份為馬來酸氨氯地平
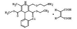
化學名稱:消鏇-2-[(2-氨乙氧基)甲基]-4-(2-氯苯基)-1,4-二氫-6-甲基-3,5-吡啶二甲酸3-乙基5-甲基酯順丁烯二鹽酸。
化學結構式:
馬來酸氨氯地平片分子式:CHCINO· CHO
分子量:524.96
性狀
本品為白色片。
適應症
1.高血壓病,可單獨使用本品治療也可或與其他抗高血壓藥物合併使用。
2.慢性穩定性心絞痛及變異型心絞痛。可單獨使用本品治療也可或與其他抗高血壓藥物合併使用。
規格
5mg(按CHCINO計)
用法用量
口服。
1.治療高血壓的常用初始劑量為5mg,每日一次,最大不超過10mg,每日一次。 體弱或老年患者,伴有肝功能不全患者的初始計量為2.5mg,每日一次,此劑量也為原使用其它抗高血壓藥物治療需加用本品治療的初始計量。
劑量調整應根據患者個體反應進行。一般的劑量調整應在7~14天后開始進行。如臨床需要,在對患者進行嚴密關測時,更快的開始劑量調整。
2.治療心絞痛的推薦劑量為5~10mg,每日一次,老年及肝功能不全的患者建議使用低劑量治療,大多數人的有效劑量為10mg/日。
不良反應
患者對本品在10mg/日的劑量可良好的耐受。在安慰劑對照的臨床治療高血壓或心絞痛的試驗中,最常見的副作用是頭痛,水腫,疲勞,嗜睡,噁心,腹痛,潮紅,心悸和眩暈。在這些臨床試驗中未發現有與本品相關的臨床檢驗指標異常。
上市後觀察到較少的副作用有禿頭症,大便習慣改變。關節痛,衰弱,背痛,消化不良,呼吸困難,牙齦增生,男子乳房女性化,高血糖症,陽痿,尿頻,白血球減少症,全身不適,情緒變化,口乾,盜汗,痙攣,肌痛,周圍神經病變,胰腺炎,出汗增加,暈厥,血小板減少症,血管炎和視覺障礙,在多數情況下,上述改變與本品的因果關係尚未確定。
過敏反應罕見,包括:搔癢,皮疹,血管性水腫和多型紅斑。
曾有極罕見的肝炎,黃疸,肝酶升高的報導(通常與膽汁淤積相一致,某些因病情較重住院的病例據報導與使用氨氯地平相關。在許多情況下,其因果關係不能確定)
與其他的鈣拮抗劑相似,以下的不良事件也有少數報導,但事件難以與基礎疾病的自然病程相區分,如:心肌梗死,心律失常(包括室性心動過速和房顫)以及胸痛。
禁忌
對二氫吡啶類藥物或本品中任何成份過量的人禁用。
注意事項
1.警告:尤其是對那些有嚴重冠狀動脈阻塞性疾病的患者,在開始使用鈣拮抗劑治療或增加劑量時,罕有發生心絞痛增加,時間延長和或程度加重或發生急性心肌梗塞,這些作用機制目前尚不清楚。
2.本品引起的血管擴張是逐漸發生的,服用本品後發生急性低血壓的情況下罕見有報導。然而在嚴重的主動脈狹窄患者,當與其它周圍血管擴張劑合用時,應引起注意。
3.充血性心衰患者的使用:總的來說,充血性心衰患者使用鈣拮抗應謹慎。但在與安慰劑對照的PRAISE研究中,同時接受地高辛,利尿劑和ACEI治療的心功能不全病人(NYHAIII-IV),聯合本品治療,隨訪平均14個月,未觀察到對患者的生存率或發病率(指致死性心律失常,急性心肌梗塞及由於心衰加重而住院的發生率)有負面的影響。在697名NYHAIII-IV級心功能不全患者,8--12W的安慰劑對照臨床研究中,通過測量運動耐量,左心射血分數和臨床症狀等指標顯示本品不會使患者的心衰症狀加重。
4.肝功能受損病人的使用:與其它所有的鈣拮抗劑相同,本品的半衰期在肝功能受損時延長,但尚未確定相應的推薦劑量,因此,在這種情況下使用本品應謹慎。
5.腎功能衰竭病人的使用:本品僅10%的藥物以原形由尿液排泄。本品血藥濃度的改變與腎功能損害程度無相關性。因此,對這些患者可以採用正常劑量。本品不能被透析。
孕婦及哺乳期婦女用藥
本品對於妊娠或哺乳期的安全性尚未確定。動物實驗中,在推薦人用最大量的50倍量,本品除引起大鼠分娩延遲和滯產外,未顯示任何生殖毒性。因此,僅在無其它安全的代謝藥物和疾病本身隊母子的危險性更大時才推薦使用本品。
兒童用藥
尚未本品用於兒童的資料。
老年用藥
本品血藥濃度的達峰時間在老年和年輕患者中是相似的,老年患者曲線下面積(AUC)增加由清除半衰期的延長使消除率有下降的趨勢。有報導在接受相似劑量的氨氯地平時,老年患者與年輕患者相同的良好耐受性。因此,老年患者可用正常劑量。但開始宜用較小劑量,再逐漸增量為妥。
藥物相互作用
本品與下列藥物合用是安全的:噻嗪類利尿藥、β-腎上腺素能受體阻滯劑、血管緊張素轉換酶抑制劑、長效硝酸酯類藥物、舌下含服硝酸甘油、非甾體類抗炎藥、抗生素和口服降糖藥物。
對健康志願者的研究顯示本品與地高辛合用不改變血清地高辛濃度和地高辛的腎臟清除率,與西咪替丁合用不改變本品的藥代動力學。
用人血漿進行的體外研究數據顯示本品不影響地高辛、苯妥英、華法令或吲哚美辛的血漿蛋白結合率。
在男性健康志願者研究中,本品與華法林合用沒有顯著改變華法林對於凝血酶原時間的影響。
藥物動力學研究表明本品未顯著改變環孢素的藥代動力學。
藥物過量
現在的資料提示,嚴重過量能導致外周血管過度擴張,繼而出現顯示而持久的全身性低血壓。
對本品過量,可採取洗胃,引起明顯低血壓是,需要積極的心血管支持治療,包括心、肺功能監護、抬高肢體,注意循環量和尿量,為恢復血管張力和血壓,在無禁忌時採用血管收縮劑。靜脈注射葡萄糖酸鈣對逆轉鈣拮抗劑的效益也是有益的。由於本品血漿蛋白結合率高,所以透析治療是有益的。
藥理毒理
本品為鈣離子阻滯劑(亦即慢通道阻滯劑或鈣離子拮抗劑)。阻滯鈣離子跨膜進入心肌和血管平滑肌。
本品抗高血壓作用的機制是直接鬆弛血管平滑肌.緩解心絞痛和確切作用機制還未完全確定,但它可以通過擴張外周小動脈和冠狀動脈,減少總外周血管阻力,解除冠狀冠狀動脈痙攣,降低心臟的後負荷,減少心臟能量消耗和對氧的需求,從而緩解心絞痛。
藥代動力學
據資料報導,健康受體者口服本品5mg後,約7.6小時血藥濃度達峰,峰濃度約為3.05ug/ml,消除半衰期約為48.6小時,本品通過肝臟廣泛代謝為無活性的代謝物,代謝物由尿液排出。
貯藏
遮光、密閉保存。
包裝
鋁塑包裝 5mg×7片/盒 ;5mg×10片/盒
有效期
24個月
執行標準
WS-(X-156)-2003Z

