簡介
風能密度風能密度是決定風能潛力大小的重要因素。風能密度和空氣的密度有直接關係,而空氣的密度則取決於氣壓和溫度。因此,不同地方、不同條件的風能密度是不同的。一般說,海邊地勢低,氣壓高,空氣密度大,風能密度也就高。在這種情況下,若有適當的風速,風能潛力自然大。高山氣壓低,空氣稀薄,風能密度就小些。但是如果高山風速大,氣溫低,仍然會有相當的風能潛力。所以說,風能密度大,風速又大,則風能潛力最好。
定義
風能密度:空氣在1秒內以速度為V流過單位面積產生的動能稱為風能密度。
公式
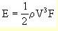
風能密度公式

風能密度公式:在與風能公式相同的情況下,將風輪面積定為1平方米(A=1m2)時所具有的功率為式中:E為風能(瓦);
為空氣密度(公斤/立方米);
V為風速(米/秒);
F為垂直於風速的截面積(平方米)。

式中ρ為空氣密度,V為風速。衡量一地風能大小,要視常年平均風能的多少而定,即式中為平均風能密度,T為總時數。

分類
平均風能密度
因為風速的隨機性很大,用某一瞬時的風速無法來評估某一地區的風能潛力,因此將平均風速代入W=0.5ρV3瓦/米2式得出平均風能密度。
計算公式W=1/T∫0.5ρV3dt
W――該段時間0-T內的平均風能密度
ρ――空氣密度(ρ的變化可以忽略不計)
V――對應T時刻的風速
W=ρ/2T∫V3dt=ρ/2N∑Vi3
有效風能密度
風能密度W=∫0.5ρV3P(v)dv
V1――啟動風速
V2――停機風速
P(v)――有效風速範圍內的條件機率分布密度函式
年風能可利用時間:
年風能可利用時間是指一年之中可以運行在有效的風速範圍內的時間,它可由下式求得:
t=N{exp[―(V1/c)k]―exp[―(V2/c)k]}
式中N為全年的小時數,V1為啟動風速,V2為停機風速,C、K為威布爾分布的兩個參數。

