簡介
風功率密度是氣流在單位時間內垂直通過單位截面積的風能。
風能是一種清潔的可再生能源,因其安全、清潔、豐富的特性在全世界得到廣泛套用和快速發展。中國風能儲量大、分布廣,近年來發展迅速,預計在2030年或2040年前後,中國的風力發電裝機容量可望超過1億kW,成為繼火電和水電之後的第三大發電能源。隨著中國風電產業的發展,氣候變暖背景下風能資源的可持續利用問題倍受關注。
研究方法
風功率密度計算方法
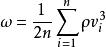
風功率密度是氣流在單位時間內垂直通過單位截面積的風能。考慮到觀測和模擬輸出的風速值都是離散形式的,據參考文獻近似地給出設定時段的平均風功率密度計算方法:
風功率密度
風功率密度
風功率密度
風功率密度
風功率密度式中, 表示平均風功率密度( ),n表示在設定時段內的記錄數; 表示第i記錄的風速(m/s)值的立方;ρ表示空氣密度()。
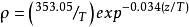
空氣密度的值取決於溫度和海拔高度,即:
風功率密度式中T為年平均空氣開氏溫標絕對溫度(℃+273);z為風場的海拔高度(m)。
估算方法
慮到各個模式的解析度不同,為了便於比較,參照相關文獻做法,分別將全球氣候模式和區域氣候模式輸出結果插值為1°×1°和0.5°×0.5°。
未來風功率密度預估方法主要採用每個模式預估結果與模擬20世紀結果進行對比,計算其平均值、差值等。用1月和4月平均風功率密度、7月和10月平均風功率密度分別表示冬半年和夏半年風功率密度狀況。
風功率密度等級和風能區劃
美國風能資源等級劃分
美 國《風能資源評估手冊(Wind resourceAssessment Handbook)》中的等級劃分包含了美國風能資源的分布,依據《手冊》解釋,4 級以上風區適合於大部分輪轂高度的風機3級適合於輪轂高度較高的風機;2級貧瘠;1級不適於開發。
我國風能資源等級劃分
我國的標準《風電場風能資源評估方法》中的風功率密度等級的基本依據為美國《風能資源評估手冊》,給出了 7 個級別,依此作為風能資源評估的參考判據。認為 4 級以上風區可以很好地套用於併網風力發電。
| 風功率密度等級 | 10m高度 | 30m高度 | 50m高度 | 套用於併網風力發電 | |||
| 風功率密度W/m2 | 年平均風速參考值m/s | 風功率密度W/m2 | 年平均風速參考值m/s | 風功率密度W/m2 | 年平均風速參考值m/s | ||
| 1 | <100 | 4.4 | <160 | 5.1 | <200 | 5.6 | |
| 2 | 100~150 | 5.1 | 160~240 | 5.9 | 200~300 | 6.4 | |
| 3 | 150~200 | 5.6 | 240~320 | 6.5 | 300~400 | 7.0 | 較好 |
| 4 | 200~250 | 6.0 | 320~400 | 7.0 | 400~500 | 7.5 | 好 |
| 5 | 250~300 | 6.4 | 400~480 | 7.4 | 500~600 | 8.0 | 很好 |
| 6 | 300~400 | 7.0 | 480~640 | 8.2 | 600~800 | 8.8 | 很好 |
| 7 | 400~1000 | 9.4 | 640~1600 | 11.0 | 800~2000 | 11.9 | 很好 |
註:
1不同高度的年平均風速參考值是按風切變指數為1/7推算的。
2與風功率密度上限值對應的年平均風速參考值,按海平面標準大氣壓及風速頻率符合瑞利分布的情況推算。
我國風能區劃等級
國家氣象局有關專家關於我國風能區劃的劃分意見採用為三級區劃指標體系:
第一級區劃指標:主要考慮有效風能密度的大小和全年有效累積小時數。
第二級區劃指標:主要考慮一年四季中各季風能密度和有效風力出現小時數的分配情況。
第三級區劃指標:風力機最大設計風速一般取當地最大風速。在此風速下,要求風力機能抵抗垂直於風的平面上所受到的壓強。
其中,第一級區劃指標主要考慮有效風能密度的大小和全年有效累積小時數,基本上表 對應,相應地對風能區域有了等級劃分。

