簡介
預測控制
預測控制約產生於 20 世紀 70 年代後期,是一類極具潛力的新型計算機控制算法。模型預測控制是預測控制的一種,簡稱為 MPC,它基於對象的階躍或者脈衝回響模型,控制策略分為三步:滾動最佳化、多步測試和反饋校正。核心思想是:可以更具系統的階躍回響或者脈衝回響得到特定輸入在整個時間範圍內的輸出,那么反過來,想要得到特定的輸出,便可以解算出特定的輸入。MPC的主要特點是:多樣的預測模型,時變的滾動最佳化,魯棒的線上校正。預測控制算法面向工業複雜的過程對象,在實際工業生產過程中得到了廣泛套用 。
預測PID控制
Haggland 於 1992 年提出預測 PID 控制器的思想。此後,預測 PID 控制算法得到了逐步的發展與完善,許多複雜的控制系統成功驗證了預測 PID 算法的有效性。當前為止,預測 PID 控制算法可以歸納為以下兩種:
(1) PID 控制器具備預測功能。從本質上推理,這類控制器是 PID 控制器,是由廣義預測控制(GPC)算法設計而成。從結構上導出,這類控制器是採用模型預測控制與 PID 結合,模型預測控制使控制器輸出值不精確,需要結合 PID 的反饋,對輸出值進行校正。(MPC)算法依據一些先進控制機理,如廣義預測原理,內模原理,模糊理論,遺傳算法和人工智慧原理來設計控制參數,從而使控制系統具有預測功能。
(2) 控制器融合 PID 算法和預測 PI 算法。這種控制器包括 PID 控制器和預測控制器,PID 控制器保留著傳統控制器對模型精度要求不高的優點,而與過程的滯後時間沒有關係,而預測控制器則主要依賴控制過程的滯後時間常數,根據以前的預估控制量預測當前所需的控制作用 。
預測PI控制算法基本原理
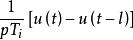
該控制器主要由兩部分構成:PI 部分和預測部分。它有 5 個參數,其中的 3個參數是可以調節的。控制器的輸入輸出關係可用下式進行表示:
預測PI控制
預測PI控制
預測PI控制其中,p 稱作微分運算元, e (t)是控制器的輸入, u (t)是控制器的輸出; 是 PI 控制器, 是預測控制器;對於控制器參數的選擇上,K一般選為過程增益的倒數,Ti是過程的主導時間常數,l 是過程的滯後時間。
因此,該類控制器與 PID 控制器相比,具有結構簡單且參數整定方便,並能夠實現對大滯後過程的輸出信號進行預測,同時具有抑制噪聲的優點。
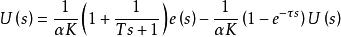
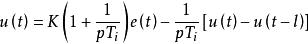
1995 年,Astrom 提出了一個與上述結構類似的預測 PI 控制器。其輸入輸出關係可用下式進行描述:
預測PI控制
預測PI控制
預測PI控制
預測PI控制
預測PI控制與前一個預測 PI 控制器相比較而言,該控制器引入可調參數 ,其主要作用是改變系統回響的速度。若 =1 時,則系統開環和閉環具有相同的時間常數;若 >1 時,則系統閉環回響速度慢於開環回響速度;若 <1 時,則系統閉環回響速度較快 。
預測PI控制器結構形式
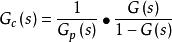
圖1 單位負反饋控制系統結構框圖圖1為單位負反饋控制系統。Gc(s)是控制器,Gp(s)是被控對象的傳遞函式,由圖1可得出閉環系統傳遞函式為:
預測PI控制可得出控制器的傳遞函式為:
預測PI控制
預測PI控制
預測PI控制
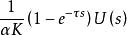
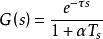
預測PI控制現假設被控對象的數學模型為一階加純滯後模型 : ,則期望的閉環傳遞函式為: 。其中, 為可調參數,可控制閉環系統的回響速度,所以由上式可得控制器的傳遞函式為 :
預測PI控制則其預測 PI 的結構為(式1):
預測PI控制
圖2 預測 PI 控制器結構
預測PI控制
預測PI控制具有 PI 控制器的結構特點,而 為預測環節,預測控制器的基本結構如圖 2所示。圖2中:
預測PI控制
預測PI控制
預測PI控制式1中, 為微分運算元,E(s),U(s)分別為控制器的輸入和輸出。式子右邊第一項為 PI 控制器,能夠提高控制器的魯棒性, 在不同干擾存在和模型發生變化時,都能保持良好的控制性能。
預測PI控制
預測PI控制
預測PI控制
預測PI控制
預測PI控制
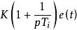
預測PI控制第二項為預測控制器,引入預測控制項是為了克服純滯後對控制系統的不利影響,可理解為控制器在 t 時刻的輸出預測值是基於在時間區間上的控制作用的,能夠消除控制作用的盲目性。因此這種控制器被稱為預測 PI(PPI)控制器,在控制器參數選取上,Kp一般選為過程增益的倒數,T 為過程的主導時間常數, 為過程的滯後時間。其中 是可調參數,當 時,系統的開環與閉環的回響時間常數一致;當 時,系統的閉環回響比開環回響要慢;當 時,系統的閉環回響比開環回響要快。由結構可知預測 PI 控制算法不僅具有 PI 算法的功能,又有預測功能,對帶有滯後對象的系統能夠進行有效控制,而且控制簡單,參數調節方便直觀 。

