PID 控制原理及實現算法
圖1 典型控制系統一個典型控制系統的基本結構包括輸入、採樣、控制器、被控對象和輸出,如圖1所示。
其中R(t)為輸入給定值,C(t)為實際輸出值,e(t)為偏差信號,並且該控制偏差由輸入給定值與實際輸出值構成,即e(t)=R(t)- C(t)。
圖2 模擬PID控制系統原理框圖系統在工作時,利用負反饋產生的偏差信號對被控對像進行控制從而消除誤差,便是反饋控制原理。控制器是對被控對像產生控制作用的設備,其目的是對誤差信號進行校正以產生最適宜的控制量。
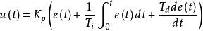
在模擬控制系統中,控制器最常用的控制規律是PID控制。PID 控制規律的基本輸入輸出關係可用微分方程表示為(式1):
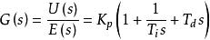
數字PID控制在式1中,e(t)為輸入的誤差信號,Kp為比例係數,Ti為積分時間常數,Td為微分時間常數,u(t)為控制器輸出。此外,控制規律還可寫成傳遞函式的形式(式2):
數字PID控制模擬PID控制系統原理框圖如圖2所示,系統由模擬PID控制器和被控對像組成。圖中Kp、Ki和Kd分別為比例、積分和微分係數,由式2可知,Ki=Kp/Ti,Kd=Kp*Td 。
PID控制器的組成
PID控制器如圖2中虛線框中所示,一共組合了三種基本控制環節:比例控制環節Kp,積分控制環節Ki/s和微分控制環節Kd*s。控制器工作時,將誤差信號的比例(P)、積分(I)和微分(D)通過線性組合構成控制量,對被控對像進行控制,故稱PID控制器。
這三種基本控制環節各具特點:
(1) P比例控制:成比例的反映控制系統的誤差信號,偏差一旦產生,控制器立即產生控制作用,以減小偏差。比例控制器在信號變換時,只改變信號的幅值而不改變信號的相位,採用比例控制可以提高系統的開環增益,是系統的主要控制部分。需要注意的是,過大的比例係數會使系統產生比較大的超調,並產生振盪,使穩定性變壞。
(2) I積分控制:積分控制主要用於消除靜差,提高系統的無差度,但是會使系統的震盪加劇,超調增大,損害動態性能,一般不單獨作用,而是與PD控制相結合。積分作用的強弱取決於積分時間常數Ti,時間常數越大,積分作用就越弱,反之則越強。
(3) D微分控制:反映誤差信號的變化趨勢(變化速率),並能在誤差信號變得太大之前,在系統中引入一個有效的早期修下信號,從而加快系統的運作速度,減少調節時間。微分控制可以預測系統的變化,增大系統的阻尼ξ,提高相角裕度,起到改善系統動態性能的作用,但是微分對干擾有很大的放大作用,過大的微分會使系統震盪加劇,降低系統信噪比。
為了實現控制目的和達到控制指標,需要選擇適宜的控制算法。常用的控制方法有反饋控制、順饋控制、P 控制、PD 控制、PI 控制、PID 控制等,其中PID控制是套用最為廣泛的控制方法之一。PID 的複合控制,可以綜合這幾種控制規律的各自特點,使系統同時獲得很好的動態和穩態性能 。
數字PID控制的分類
PID控制算法在實際套用中又可分為兩種:位置式PID控制算法和增量式PID控制算法。控制理論上兩者是相同的,但在數字量化後的實現上會存在差別,以下分別對其進行介紹。
位置式數字 PID 控制
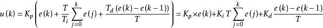
圖3 位置式 PID 控制系統對式1作離散化處理就可以得到位置式數字 PID 控制算法,即以一系列的採樣時刻點 kT 代表連續時間 t,以矩形法數值積分近似代替積分,以一階後向差分近似代替微分,可得到其 k 採樣時刻的離散 PID 表達式(式3):
數字PID控制上式中,Ki=Kp/Ti,Kd=Kp*Td,T 為採樣周期,k 為採樣序號,k=1,2,...,e(k-1)和e(k)分別為第(k-1)和第 k 時刻所得到的系統偏差信號。
典型的位置式 PID 控制系統如圖 3所示,其中,rin(k)為 k 採樣時刻的給定值,u(k)為 k 採樣時刻的控制量輸出,yout(k)為 k 採樣時刻的實際輸出,e=rin(k)-yout(k)。
量式 PID 控制的算法理論
增量式 PID 控制是指控制器的輸出是控制量的增量Δu(k),當執行機構需要的是控制量的增量而不是位置量的絕對數值時,可以使用增量式 PID 控制算法進行控制。
根據式3套用遞推原理,可得到 k-1 個採樣時刻的輸出值(式4):
數字PID控制將式3與式4相減,經整理後,可以得到增量式 PID 控制算法公式:
數字PID控制
數字PID控制以上各式中,Ki=Kp/Ti,Kd=Kp*Td,T 為採樣周期,k 為採樣序號,k=1,2,…,e(k-2)、e(k-1)以及 e(k)分別為第(k-2)、第(k-1)和第 k 時刻所得到的系統偏差信號。
說明
以上兩種算法各有各的優缺點,在增量式算法中,控制增量Δu(k)僅與最近k 次的採樣有關,所以誤動作影響較小,但是增量式算法的每次增量可能由於數字量化的處理帶來相對很大的截斷誤差,這種誤差的積累會使輸出量與理論計算存在較大的偏差。
需要說明的是,單純的位置式 PID 算法亦或是增量式 PID 算法在控制算法中都是相對底層和常規的,而且隨著計算機以及微處理晶片的大量套用,越來越多非標準的改進 PID 算法都在基於這兩種常規算法的基礎上得以發展起來,以滿足不同控制系統的需要 。
採樣周期的選取
數字PID控制系統和模擬PID控制系統一樣,需要通過參數整定才能正常運行。所不同的是除了整定比例帶δ(比例增益值Kp)、積分時間Ti、微分時間Td和微分增益Kd外,還要確定系統的採樣(控制)周期T。
根據採樣定理,採樣周期T≤π≤ωmax,由於被控制對象的物理過程及參數的變化比較複雜,致使模擬信號的最高角頻率ωmax是很難確定的。採樣定理僅從理論上給出了採樣周期的上限,實際採樣周期的選取要受到多方面因素的制約。
(1)系統控制品質的要求:由於過程控制中通常用電動調節閥或氣動調節閥,他們的回響速度較低,如果採樣周期過短,那么執行機構來不及回響,仍然達不到控制目的,所以採樣周期也不能過短。
(2)控制系統抗擾動和快速回響的要求:要求採樣周期短些,從計算工作量來看,則又希望採樣周期長些,這樣可以控制更多的迴路,保證每個迴路有足夠的時間來完成必要的運算。
(3)計算機的成本:計算機成本也希望採樣周期長些,這樣計算機的運算速度和採集數據的速率也可降低,從而降低硬體成本。
採樣周期的選取還應考慮被控制對象的時間常數Tp和純延遲時間τ,當τ= 0或τ<0. 5Tp時,可選T介於0. 1Tp至0. 2Tp之間;當τ>0. 5Tp時,可選T等於或接近τ。
(4)必須注意,採樣周期的選取應與PID參數的整定綜合考慮,選取採樣周期時應考慮的幾個因素:
1)採樣周期應遠小於對象的擾動信號周期。
2)採樣周期比對象的時間常數小得多,否則採樣信號無法反映瞬變過程。
3)考慮執行器回響速度。如果執行器的回響速度比較慢,那么過短的採樣周期將失去意義。
4)對象所要求的調節品質。在計算機運行速度允許的情況下,採樣周期短,調節器質好。
圖4 經驗採樣周期5)性能價格比。從控制性能來考慮,希望採樣周期短,但計算機運算速度以及A /D和D /A的轉換速度要相應地提高,導致計算機的費用增加。
6)計算機所承擔的工作量。如果控制的迴路數多,計算量大,則採樣周期要加長;反之,可以縮短。
由上述分析可知,採樣周期受各種因素的影響,有些是相互矛盾的,必須是具體情況和主要的要求做出折中的選擇。在具體選擇採樣周期時,可參照圖4所示的經驗數據,在通過現場試驗最後確定合適的採樣周期,圖4僅列出幾種經驗採樣周期T的上限,隨著計算機技術的進步及其成本的下降,一般可以選取較短的採樣周期,使數字控制系統近似連續控制系統 。
數字PID控制參數的整定
隨著計算機技術的發展,一般可以選擇較短的採樣(控制)周期T,它相對於被控制對象時間常數Tp來說也就更短了。所以數字PID控制參數的整定過程是,首先按模擬PID控制參數整定的方法來選擇,然後再適當調整,並考慮採樣(控制)周期對整定參數的影響。
由於模擬PID調節器套用歷史悠久,已經研究出多種參數整定方法,很多資料上都有詳細論述。針對數字控制的特點,目前常用的有幾種整定方法。
穩定邊界法
這種方法需要做穩定邊界實驗。實驗步驟是,選用純比例控制,給定值r做階躍擾動,從較大的比例帶δ開始,逐漸減小δ,直到被控制量Y出現臨界振盪位置,記下臨界振盪周期Tu和臨界比例帶δu,然後按經驗公式計算δ、Ti和Td。
衰減曲線法
實驗步驟與穩定邊界法相似,首先選用純比例控制,給定值r做階躍擾動,從較大的比例帶δ開始,逐漸減小δ,直至被控量Y出現4∶1衰減過程為止。記下此時的比例帶δv,相鄰波峰之間的時間Tv。然後按經驗公式計算δ、Ti和Td。
動態特性法
上述兩種方法直接在閉環系統中進行參數整定。而動態特性法卻是在系統處於開環情況下,首先做被控制對象的階躍回響曲線,從該曲線上求得對象的純延遲時間τ、時間常數和放大係數K。然後在按經驗公式計算δ、Ti和Td。
基於偏差積分指標最小的整定參數法
由於計算機的運算速度快,這就為使用偏差積分指標整定PID控制參數提供了可能,常用以下三種指標:ISE、IAE、ITAE。一般情況下, ISE指標的超調量大,上升時間快;AIE指標的超調量適中,上升時間稍快; ITAE指標的超調量小,調整時間小。採用偏差積分指標,可以利用計算機尋找最佳的PID控制參數 。

