簡介
數字控制系統又稱為計算機控制系統,它是在自動控制技術和計算機技術高速發展的基礎上產生的。20世紀50年代中期,經典控制理論已經發展得十分成熟,而且在很多工程技術領域中得到成功套用。 具體的來說,數字控制系統是指採用數位技術實現各種控制功能的自動控制系統。其主要類型是以計算機為核心的控制系統,包括計算機監控系統、直接數字控制系統、計算機多級控制系統和分散控制系統。
數字程式控制系統(numerical control systems),是指用代表加工順序、加工方式和加工參數的數字碼作為控制指令的數字控制系統,簡數字程式控制系統稱數控(NC)系統。在數控系統中通常配備專用的電子計算機,反映加工工藝和操作步驟的加工信息用數字代碼預先記錄在穿孔帶、穿孔卡、磁帶或磁碟上。系統在工作時,讀數機構依次將代碼送入計算機並轉換成相應形式的電脈衝,用以控制工作機械按照順序完成各項加工過程。數控系統的加工精度和加工效率都較高,特別適合於工藝複雜的單件或小批量生產。它廣泛用於工具製造、機械加工、汽車製造和造船工業等。
發展
早期多採用固定接線的硬線數控系統,用一台專用計算機控制一台設備。後來採用微型計算機代替專用計算機,利用編制不同的程式軟體實現不同類型的控制,可增強系統的控制功能和靈活性,稱為計算機數控系統 (CNC)或軟線數控系統。後來又發展成為用一台計算機直接管理和控制一群數控設備,稱為計算機群控系統或直接數控系統 (DNC)。進一步又發展成為由多台CNC與NC設備和DNC計算機組成的網路,實現多級控制。到了80年代則發展成將一群工具機與工件、刀具、夾具和加工自動傳輸線相配合,由計算機統一管理和控制,構成計算機群控自動線,稱為柔性製造系統(FMS)。數控系統的更高階段是向機械製造工業設計和製造一體化發展,將計算機輔助設計(CAD)與計算機輔助製造(CAM)相結合,實現產品設計與製造過程的完整自動化系統。
組成
數控系統由信息載體、數控裝置、伺服系統和受控設備組成。信息載體採用紙帶、磁帶、磁卡或磁碟等,用以存放加工參數、動作順序、行程和速度等加工信息。數控裝置又稱插補器,根據輸入的加工信息發出脈衝序列。每一個脈衝代表一個位移增量。插補器實際上是一台功能簡單的專用計算機,也可直接採用微型計算機。插補器輸出的增量脈衝作用於相應的驅動機械或系統用來控制工作檯或刀具的運動。如果採用步進電機作為驅動機械,則數控系統為開環控制。對於精密工具機,需要採用閉環控制的方式,以伺服系統為驅動系統。
數字控制系統由計算機、外部設備、操作台、輸入通道、輸出通道、檢測裝置、執行機構、被控對象以及相應軟體組成。
1.計算機
計算機是數字控制系統的核心,通過接口可以向系統的各個部分發出各種控制指令,同時對被控對象的被控參數進行實時檢測和處理。其功能是完成程式存儲、數值計算、邏輯判斷、數據處理。
2.過程輸入、輸出通道
過程輸入、輸出通道是計算機和被控對象之間設定的信息傳遞和轉換的連線通道。輸入通道把被控對象的被控參數轉換成計算機可以認知的數字代碼,這一般需要採樣、量化和編碼三步完成。輸出通道把計算機輸出的控制指令和數據轉換成可以對被控對象進行控制的控制信號。輸入、輸出通道一般包括:模擬量輸入通道、模擬量輸出通道、數字量輸入通道、數字量輸出通道。
3.外部設備
外部設備是實現計算機和外界信息交換的設備,簡稱外設。外部設備包括人機通信設備,輸入、輸出設備和外存儲器等。
輸入設備:鍵盤、掃瞄器、光電輸入機等,用來輸入程式和數據。
輸出設備:印表機、記錄儀、顯示器等,主要用來向操作人員提供信息和數據,以便及時了解控制過程。
外存儲器:包括磁帶、磁碟等,用來存儲系統程式和數據。
4.檢測裝置
為了對被控對象進行控制,必須首先對被控對象的被控參數進行數據採集,例如溫度、壓力、液位、速度等,它是由檢測裝置來完成的,檢測裝置即感測器,可以將非電量參數轉換成電量參數,再送到計算機。
5.執行機構
執行機構是計算機控制系統的一個重要組成部分,它是控制任務的執行者,如電機等。
6.操作台
操作台是操作人員和計算機控制系統進行對話的裝置,主要包括:
(1)顯示裝置:顯示螢幕、螢光數碼顯示器、顯示操作人員要求顯示的內容和報警信號。
(2)功能鍵:復位鍵、啟動鍵、列印鍵、顯示鍵、中斷鍵。
(3)數字鍵:輸入某些數據或修改控制系統的某些參數。
7.軟體
軟體是能夠完成計算機控制系統各種功能的程式。它是計算機控制系統的中樞神經。在軟體的指揮下,整個系統進行協調工作。軟體包括系統軟體和套用軟體。
1.系統軟體。它是為了提高計算機使用效率,擴大功能,為用戶使用、維護和管理計算機提供方便的程式的總稱。系統軟體包括作業系統、語言加工系統和診斷系統,具有一定的通用性,一般隨硬體一起由計算機廠家提供。
2.套用軟體。用戶根據要解決的實際問題而編寫的各種程式。在計算機控制系統中則是指完成系統各種任務的程式。例如控制程式、數據採集和處理程式,巡迴檢測和報警程式。
8.被控對象
一個實際的被控對象可以有各種各樣的形式,但是如果抽象成數學模型,可以由以下幾種典型的傳遞函式來表示:
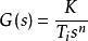
數字控制系統(1)放大環節:
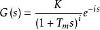
數字控制系統(2)慣性環節:
數字控制系統(3)積分環節:
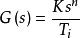
數字控制系統(4)微分環節:
數字控制系統(5)純滯後環節:
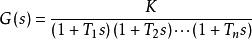
數字控制系統(6)放大/慣性/積分環節:
數字控制系統(7)放大/慣性/積分環節:
數字控制系統(8)放大/慣性/積分環節: 。
主要作用
數字控制系統的主要作用如下:
1.信息處理。對於複雜控制系統,輸入信號和根據控制算法要求對誤差進行計算時的計算量很大,採用模擬解算裝置達不到所需精度,需要計算機處理。
2.實時控制。計算機控制系統是通過軟體程式來實現系統控制的,並不斷地對系統進行校正以達到所需的動態特性。
3.複雜計算。計算機具有快速實現複雜計算的功能,因而可以實現系統的最優控制、自適應控制等高級控制功能和多功能計算調節。
控制過程
數字控制系統的控制過程可分為三部:
1.實時採集數據。對被控對象的被控參數進行實時檢測,同時傳送給計算機進行處理。
2.實時決策。對採集到的被控參數的狀態量進行分析,並按照某種控制算法計算出控制量,決定下一步的控制過程。
3.實時控制。根據決策實時地向執行器發出控制信號。
“實時”是指信號的輸入、計算、輸出都要在採樣間隔內完成。計算機控制系統的這種控制作用不斷地重複,使得整個系統能夠按照一定的動態品質指標進行工作,並且使整個控制系統達到所需要的性能指標;同時對被控參數和設備本身所出現的異常狀態能夠進行監測和處理。
設計
設計數字控制系統的方法有兩種:基於頻域圖解的經典法和以狀態變數為基礎的狀態變數法。數字控制系統的設計需要滿足已經給定的指標,即:穩態精確度、瞬態精確度(動態回響)、穩定性、對參數變化的敏感度和對擾動的抑制能力等。這些性能指標不是孤立存在的,它們之間互有牽制。因此,設計數字控制系統時,要綜合考慮全部給定性能指標,使每一項都能得到滿足。

