基本概念
PID控制
PID控制,即比例-積分-微分控制,是自動控制原理中定義的一種控制方法,也可以稱為是校正方法 。
PID控制主要是對系統偏差進行比例、積分、微分三種操作併線性組合成控制量,以減小系統誤差,提高系統回響速度和回響效果。
模擬PID控制
傳統的PID控制是模擬PID控制,即通過現場檢測儀表、控制儀表、執行器等直接對模擬信號如液位、流速、溫度、位置等物理量進行PID控制 。
數字PID控制
數字PID控制是把現場的控制變數的模擬信號和對現場受控變數的輸出信號均轉換成了數位訊號,PID的實現也是通過數位訊號的設定來完成的。數字PID控制大多在DCS、PLC等計算機系統內完成的 。
數字PID控制的兩種基本形式是位置式PID控制和增量式PID控制。
位置式PID控制
位置式PID控制是指在積分環節,對從0時刻到當前時刻的所有偏差進行積分,是非遞推式的全局積分。
增量式PID控制
和位置式PID控制不同,增量式PID控制將當前時刻的控制量和上一時刻的控制量做差,以差值為新的控制量,是一種遞推式的算法。
公式表示
連續PID控制
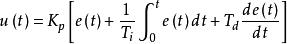
對模擬信號進行的模擬PID控制,也可以稱作連續PID控制,微分表示為:
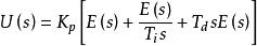
增量式PID控制式中,Kp為比例係數,Ti為積分時間常數,Td為微分時間常數。對上式進行拉氏變換:
增量式PID控制PID控制器的傳遞函式為:
增量式PID控制離散PID控制
對連續PID控制以一定離散化方法離散後就可以得到數字PID控制,離散的本質是採樣,假設採樣為周期採樣,採樣周期為T,離散自變數為n,則離散PID控制可以表示為:
增量式PID控制上式也表示出了位置式PID控制算法。
增量式PID控制
根據位置式PID控制公式,寫出n-1時刻的控制量:
增量式PID控制設
增量式PID控制得到
增量式PID控制
增量式PID控制
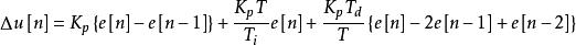
增量式PID控制令為積分係數;為微分係數,可以將上式簡化為
增量式PID控制PID控制的特點
比例、積分、微分控制各有所長,根據實際需求對幾種控制律加以結合,一般採用PI、PD或者PID控制 。
P控制
P(比例)控制實質上是一個可調增益放大器,只改變被調信號的幅值而不改變相位。加大增益可以提高系統開環增益,減小系統穩態誤差,提高控制精度,但P控制不能消除穩態誤差,且大增益會降低系統相對穩定性,甚至造成系統不穩定。
I控制
I(積分)控制可以消除穩態誤差,但控制作用慢,有可能降低系統穩定性。
D控制
D(微分)控制可以超前控制,動作十分迅速,可以改善滯後的情況,但不能消除穩態誤差,且當出現脈衝時容易有過激動作,而在恆差時不動作。
增量式PID控制
增量式PID控制主要是通過求出增量,將原先的積分環節的累積作用進行了替換,避免積分環節占用大量計算性能和存儲空間。
增量式PID控制的主要優點為:
①算式中不需要累加。控制增量Δu(k)的確定僅與最近3次的採樣值有關,容易通過加權處理獲得比較好的控制效果;
②計算機每次只輸出控制增量,即對應執行機構位置的變化量,故機器發生故障時影響範圍小、不會嚴重影響生產過程;
③手動—自動切換時衝擊小。當控制從手動向自動切換時,可以作到無擾動切換 。
由於增量式需要對控制量進行記憶,所以對於不帶記憶裝置的系統,只能使用位置式PID控制方式進行控制。

