學說的發展
首先,經過200年的積累,通過對壓桿失穩、非線性振動和三體問題等典型非線性問題的研究,非線性力學已積累了相當的認識和理論。例如,龐加萊從三體問題的研究,已認識到在非線性系統中,一種我們覺察不到的起因可能產生一個顯著的、我們決不會看不到的結果。其次,當時的工業和生產,已提出大量重大問題,迫切希望解決。一是飛行跨越聲障的問題,二是航空採用的薄壁構件的行為,三是新材料,如塑膠、纖維等的出現和套用。這些需求都提出了大量的非線性力學問題。跨越聲障要了解激波,採用薄壁構件要解決大變形屈曲,使用新材料要遇到非線性物性。這些問題,往往與線性化了的問題有根本性質上的不同,因此,不論是處理工具還是基本概念都要靠拼搏,去開拓、創新。因此,在本世紀上半葉的物理學革命的大潮中,看起來處於旁觀地位的力學,一方面開拓了航空等大型新興工業,另一方面,繼承著歐拉、龐加萊等人的傳統,率先向非線性領域突進了。當時,大概幾乎還沒有人意識到,這個突進,在本世紀後半葉竟發展成了超越牛頓開始的機械論、又超越當時的物理學革命家們開創的還原論的一種新的自然觀。
學說簡介
主要研究體系的定解方程、本構方程、運動方程等非線性方程的各類問題。由於新現象的發現,新材料和新結構的套用,使非線性理論廣泛受到重視,不少學者對古典理論從幾何的或物理的角度進行了不同程度的修正,提出了各式各樣的非線性工程理論,形成了許多非線性分析的新學科。非線性力學近年來在結構與介質的共同作用、工程結構抗震動力學、土力學、斷裂力學、流體力學、疲勞、熱應力……等等方面都得到了廣泛的發展。非線性彈塑性力學 在工程問題中有兩種非線性類型──幾何的和物理的。它們可以看作彼此沒有關聯,如轉動角的微小並不包括伸長度和切應變的微小,反之亦然。這樣,從幾何上和物理上的線性和非線性區分工程問題,可分為四種:物理線性和幾何線性、物理非線性和幾何線性、物理線性和幾何非線性、物理非線性和幾何非線性。後三類都是非線性問題,均以軟鋼為例作說明。
物理線性和幾何線性 在這一類型的問題中,物體轉動角的大小同伸長度和切應變同一量級,而伸長度小於所研究材料的比例極限。受拉伸的直桿,當桿中的應力不超過比例極限時,是線性問題中最簡單的例子。
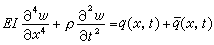
物理非線性和幾何線性 在計算作用於微元體上力的投影和在確定其應變時,仍可略去轉動角,但是伸長度超過了比例極限,此時應力和應變之間是非線性關係,對結構要進行彈塑性分析。如理想的彈塑性材料的矩形梁的彎曲情況,只限於非線性彈塑性小變形、靜力分析範圍,其基本假設與彈性梁彎曲理論相同。當均布荷載不斷增加到某一數值時,梁中最大彎矩的截面上最大應力點開始屈服,然後塑性區逐漸對稱地從上下兩面開始擴展,最後整個截面進入塑性區。當荷載q 大於初始屈服荷載qe時,梁的中部為部分塑性區,兩端為彈性區域(圖1a),當ρ=q/qp=2/3時(qp為梁的極限載荷),梁開始屈服,屈服發生在梁中間截面的上下兩點。如果荷載繼續增大,則屈服點擴大成為上下兩個塑性區域,以至兩塑性區域最後在梁軸中點連線起來,達到截面全部塑性狀態,此時ρ=1,荷載稱為極限荷載,圖1b表示在不同的 ρ時的彈塑性界線。圖2表示w0/w奵與ρ 的關係,其中w0表示x=0處的撓度,w奵表示梁中央橫截面上外邊纖維應力首先達到屈服極限時的中點撓度(也稱為彈性極限撓度)。由圖可見,w0/w奵的數值隨ρ值的增加而增大,當 ρ=0.95時(即非常接近於極限荷載時),w0/w奵≈2,但撓度並不太大,仍屬彈性變形量級。若材料為理想塑性材料,當ρ=1.0時,簡支梁處於極限狀態,可以開始無限制的塑性變形,在梁跨中截面處形成所謂“塑性鉸”。近年來,對於強化材料構成的梁板結構,用已知結構的彈性解分析結構的彈塑性靜力與動力性能。基於塑性應變與作用力之間的相似,可以把對彈塑性體的分析化為具有一組附加外力的相同彈性體進行分析。如彈塑性梁的運動方程為
非線性力學
非線性力學
(1)
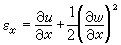
為梁進入彈塑性狀態後的附加荷載,即塑性應變(e")應。方程左端與彈性梁振動完全一樣,其剛度及本徵向量正規振型都不隨時間而變化,只是將塑性應變增量當成作用在物體上的附加力看待。這樣,就可以套用已知彈性解分析相應彈塑性結構的應力、應變和位移。 物理線性和幾何非線性 在這一類問題中轉動角實質上是大的(在應變不超過比例極限的情況下),亦即物體變形不是微小的,因此不能略去形變的乘積不計,從而形成了幾何上的非線性。如可以把優質鋼的薄長條彎到兩端碰在一起,放鬆後它將恢復平直而沒有剩餘應變。這說明了即使在很大的位移和轉動角下,長條中的應力仍可不超過屈服應力(對於軟鋼,屈服應力和比例極限應力很接近)。在梁、板、殼體結構中也存在著大量的這類非線性問題,例如大撓度平板(柔韌板),當平板的撓度與其厚度相比不是一個小值,然後仍較平板的其他尺寸為小時,則必須考慮中面變形的影響。應變必須要考慮到高階二次項(非線性項),如
。撓度與荷載間存在著非線性關係。由此而推得一組非線性定解方程如下:
(2)
(3)
,
(2)和(3)式分別表示在直角坐標系統中大撓度平板的平衡方程和形變連續性方程。幾何非線性問題已在梁、板、殼體結構靜力、動力和穩定問題中得到廣泛的套用。
物理非線性和幾何非線性 在這類問題中,應變超過比例極限,同時轉動角也大到再不能把它當做小值來看待,必須同時在應力-應變關係公式中,在微元體的平衡方程中及在應變公式中考慮到非線性項。如在鋼條彎曲時應力超過比例極限,就屬於這一類問題。這是兩類非線性同時存在的問題,如果用聯合求解的形式,可以獲得較滿意的近似解。
非線性振動 一個物理的振動系統,當它的元素都服從線性規律時,可用線性方程表示。在許多元素中,有關的物理量的變化不能視為很小,因而出現非線性時,則對應的方程是非線性方程。在元素的微小變化不服從線性規律的情況下,也成為非線性方程。凡是由非線性方程描述的振動系統稱為非線性振動。在一個自由度系統的振動問題中,一般總是認為彈簧內的彈性力與其變形成比例,結構阻尼與速度成比例,結構質量不隨時間變化,這樣,一個自由度系統振動方程就是線性、常係數的二階常微分方程為
m塯(t)+β凧(t)+kx(t)=F(t) (4)
式中m為質點質量;β為粘滯阻尼係數;k為彈性恢復係數。但是在有些工程中,如結構與流體的共同作用,此時一個自由度的非線性方程為
m塯(t)+β凧(t)+kx(t)+Cd喣凧(t)喣凧(t)=F(t) (5)
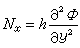
式中m、β和k均為常數;Cd喣凧(t)喣為流體的阻尼係數,喣凧(t)喣取模表示流體阻尼力方向與結構運動方向總是相反的。對於m、β和k都是空間和時間函式時,一個自由度的典型的非線性方程為
(6)
非線性波動 近幾年來,在物理學和工程技術的許多領域中,非線性波的傳播越來越受到重視。一般把服從於非線性方程的有限振幅的波稱為非線性波。由於迭加原理不能用於求解非線性波動方程,無法套用常用的傅立葉展開和拉普拉斯變換,所以較難查明非線性波的性質。但是最近隨著各種非線性波動現象問題的提出和電子計算機的發展,使它的研究取得快速的進展,弄清了各種新的問題。非線性波也和線性波一樣,可區分為耗散性和色散性。但是,對於非線性波,如果忽略耗散性和色散性,波的相速度一般僅由振幅決定。在這種情況下,通常振幅越大波的相速度就越大。因此,如果開始時大振幅波在小振幅波的後面,則隨著時間的增長,大振幅波將追上前面的小振幅波,發生波的突陡,最後波被破壞。超聲速飛機產生的衝擊波可作為這種耗散型非線性波的一個典型例子。掃過衝擊波陣面的氣體由於粘滯性而被加熱,這個耗散性與由飛行器引起的突陡相平衡而形成衝擊波。衝擊波不僅在氣體中傳播,而且也在液體和固體中傳播,爆炸產生的衝擊波的套用範圍特別廣泛。
非線性隨機振動 設有一隨機微分方程為
(7)
學說發展
首先,經過200年的積累,通過對壓桿失穩、非線性振動和三體問題等典型非線性問題的研究,非線性力學已積累了相當的認識和理論。例如,龐加萊從三體問題的研究,已認識到在非線性系統中,一種我們覺察不到的起因可能產生一個顯著的、我們決不會看不到的結果。其次,當時的工業和生產,已提出大量重大問題,迫切希望解決。一是飛行跨越聲障的問題,二是航空採用的薄壁構件的行為,三是新材料,如塑膠、纖維等的出現和套用。這些需求都提出了大量的非線性力學問題。跨越聲障要了解激波,採用薄壁構件要解決大變形屈曲,使用新材料要遇到非線性物性。這些問題,往往與線性化了的問題有根本性質上的不同,因此,不論是處理工具還是基本概念都要靠拼搏,去開拓、創新。
因此,在本世紀上半葉的物理學革命的大潮中,看起來處於旁觀地位的力學,一方面開拓了航空等大型新興工業,另一方面,繼承著歐拉、龐加萊等人的傳統,率先向非線性領域突進了。當時,大概幾乎還沒有人意識到,這個突進,在本世紀後半葉竟發展成了超越牛頓開始的機械論、又超越當時的物理學革命家們開創的還原論的一種新的自然觀。
學說套用
當前,社會和產業發展面臨的迫切問題,或許可以概括為:可持續發展、國家在世界經濟中的競爭力、重大工程壽命預測和自然災害預報等。如何解決這些問題,除了社會因素之外,大家或許會想到先進的信息、材料和生命科學技術。但是,如果稍加注意便會發現,問題主要涉及的是巨觀物質世界的運動,特別是它們的運動模式的變化。例如,我們之所以關心可持續發展戰略,一個重要原因,是不希望生存環境的負荷超過某個臨界狀態,以便我們能生存於良性循環之中。又如,構成國家競爭力的要素固然很多,但突破常規(可比擬為非線性外推)的硬軟體工程技術,卻依然是競爭力的核心。如在本世紀上半葉構成西方軍力、生產力重要部分的航空業,就曾密切依賴於上面引述過的聲障、薄壁件、新材料三方面的突破。因此,以巨觀物質的多層次運動為主要研究對象的非線性力學及其套用,將會對我們的社會發展和生產起很大的作用。舉一些更具體的典型例子,也許會更形象。如:起飛重量為數百噸,機體尺寸為半個足球場大小的民航機,雖然乘客都能清楚看到機翼的明顯顫動和位移,但它卻在氣體中安全地飛行。反面的例子,如大跨度的橋樑,在風載下坍塌是時有所聞的。1940年全長1.6公里,列為當時世界第三的美國Tacoma大橋,在大風下激烈振盪,坍塌。其原因就是設計師不了解風和大橋的非線性相互作用,只按靜載設計造成的。不幸的是,這類事故至今仍未能完全消除。最近,美國一座數百米高的電視塔突然倒塌,就是一例。
面對未來,待解決的重要問題更多。重大工程,如水壩、機組運行了多年;或大型武器,如戰略武器貯備了多年,它們還能安全可靠運行多久?什麼時候到了臨界狀態,怎么預先測知?再如,空天飛機等新型飛行器,面臨燃料在超聲速流動狀態下的混合和點火,對於流速超過了聲速的流動,混合規律是什麼呢?還有,對於自然災害頻繁的我國,我們能在多大的可靠程度上預報地震、颱風、洪水等重大自然災害,等等。這類社會和科學發展中的重大的、未解決的問題,不勝枚舉。
典型問題
歸納各種各樣、大大小小的套用,典型化的非線性力學問題,或者可以舉以下典型問題為例:1.三體問題
1887年瑞典國王奧斯卡二世(OscarⅡ)懸賞2500克朗,徵求解答:太陽系是否是穩定的?例如某個星球是否會與太陽相撞。眾所周知,太陽系有九大行星,問題是十分複雜的。其中所含的基本問題是,三個質點在萬有引力作用下的運動,簡稱三體問題。其困難在於給定初始位置和速度,並不能像機械論判定的那樣,確定以後任意瞬時的位置與速度,從而確定是否二個質點會相撞等。2.屈曲
1744年歐拉研究過細桿在軸向力壓縮下的變形。該細桿在軸向力較小時保持軸向變形,但當軸向載荷超過某一臨界值後,壓桿變形傾向於其一側拱曲。這種現象被稱為壓桿屈曲或解的分叉。板、殼等一大類構件在受載時,均會發生這種偏離原對稱平衡位置的不對稱變形。因此,廣義上它是彈性系統穩定性的問題。它的特點和難點在於,從一個對稱平衡變形態中,怎么會又冒出另一個非對稱的屈曲模態,屈曲以後,什麼變形模態是最可能的。
3.非線性振動
振動是極常見的現象。大家都熟悉簡諧振動,特別是通過富氏分析,了解了基頻振動和高頻分量的作用。但到了非線性振動,一系列完全不同的新現象出現了。其中由負阻尼引起的自激振動——系統靠內部維持振動,和次諧波共振(分頻)——系統外部強迫激勵幾分之一的頻率振動,最引人注目。不斷分頻而導致混沌,把確定性動力系統和隨機統計結合了起來。4.孤立子
上世紀30年代,J.R.Russell在英國一條運河中,騎馬追蹤觀察到一個突起的水峰能長時間維持其形狀和運動速度,沿河道持續行進,被稱為孤立波。二次大戰後,費米等人計算非線性彈性弦,發現類似的現象。到60年代,Zabusky和Kruskal才指出這是一類由非線性和色散的強耦合,形成的非常穩定的、即使碰撞也不改變形狀的、像粒子一樣的波結構,稱為孤立子。它表明在非線性(力學)現象中,除了分叉和不確定性解的另一個側面,即非常有組織的結構。這個力學理論,在20年後,竟成了遠距離光纖通訊的核心概念。5.激波或叫衝擊波
在連續的流動中,當質點運動速度超過物質中的聲速時,連續的流動會變成不連續的,也就是壓力、速度、密度都會形成一個突躍。然而激波的出現不是預先給定的,它是強非線性造成的一個自由界面,飛行體在這種情況下遇到的麻煩就叫“聲障”。二次大戰期間,美國洛克希德公司新造的戰鬥機,當時速為0.8聲速時,曾機毀人亡。事後檢查,局部流速超過聲速,激波不僅減弱升力,而且造成整機強烈振動而失去平衡。後來發現在固體中,甚至在交通車輛流中,激波也起著重要作用。6.湍流
湍流被稱為是經典物理學中的最後的疑難。湍流問題難在哪裡?其關鍵是,它是一個真正的“多體”問題。例如,其自由度可用雷諾數的9/4次方估計,即使雷諾數為104,其自由度已高達109,相當目前計算機能力的上限。在湍流中,各種不同空間和時間尺度的大小鏇渦相互嵌套著,能量在其間傳輸。強非線性相互作用,使得難以將看似有序的大尺度擬序結構與“混亂”的小尺度結構分割開來。湍流既是複雜流動向我們的挑戰,也是長期以來,人們窺視複雜運動普遍規律的一個視窗。7.破壞
容易想像,固體破壞的物理本質,是從原子鍵的斷開,到巨觀固體的分離的全面展示。正因為如此,它跨越了從原子間距(Å)到巨觀工件(mm~m)之間107~1010的跨度,因此,其間的複雜性,可與湍流相比。以至,錢學森把它列入連基本概念還不清楚的一類問題。有時候,忽略細節的巨觀處理,如伽里略開始的強度理論,能提供一些可信的結果。然而,有時,一些微觀細枝末節卻又牽一髮而動全身,造成“螻蟻之穴,潰堤千里”的驚人效果。多層次的非線性相互作用,在這裡布置了一座迷宮,我們尚未找到合適的通道。共同特徵
上面所列的幾個問題,決不是非線性力學的全部,而僅是幾個示範例子,它表明的共同特徵,目前可以概括為以下幾點:1.局部之和不等於整體
因此不可能把對整體的認識,簡單還原為對若干局部的認識;另一方面,大量單元按某些簡單規律的多次重複,可能其總效應並不簡單。2.不確定性
或者稱確定性的隨機行為,混沌即是一例。應該講,在壓桿屈曲中所顯示的解的分叉,就是這種不確定性的原由之一。湍流則應是這方面一個活的溝通理論與實際的例子。3.組織性
強非線性耦合,還會造成與不確定性完全相反的一面,即堅不可摧的有組織的結構,孤立子是這方面的典型範例。4.複雜性
由上面幾點合起來看,構成了現象譜的複雜性,而且不同特徵或模式間的轉換,由某種底蘊暗流所控制,表現上有突變性。共性的根源
可能來自三方面:非線性、非平衡、多層次。因此,站在世紀之交的人們,面臨著自然觀,從機械論,進而到還原論,再進而到非線性演化的發展。周光召在1995年的科學大會上講,我們“看到的將是與牛頓,愛因斯坦創建的決定性的、簡單和諧的模式不同,而是一個演化的、開放的、複雜的世界,這是一幅更接近真實的世界圖景。”在這樣一種觀察中,非線性力學,曾起過突進作用。半個世紀以前,馮·卡門的大聲疾呼“工程師與非線性問題拼搏!”現在,已成為大批工程師和科學家,從航空、航天到大型土木和海洋工程,從氣象預報、地震預報到污染控制和生態環境保護領域的協同行動。但是,核心困難往往卡在強非線性耦合作用,及其引起的突變性問題上。顯然,非線性力學是理論和實踐,科學與工程的一個關鍵交匯點。因此,希望科研領導部門認識到,非線性力學的研究,是推動我國工程和科學發展的一種有長遠影響的內在動力,予以重視和支持。
最後,應該強調,在近代史中,中國人只在少數學科,對近代科學有記入史冊的貢獻,非線性力學就是一個“中國人最有成就的學科”。(見錢偉長引林家翹語,《力學進展》1983.13.P117)。如周培源對一般湍流的模式的研究,錢學森的跨聲速流相似率和殼體非線性失穩理論,錢偉長的扁球殼跳躍變形理論,郭永懷的奇異攝動法(PLK法——龐加萊,萊特希爾,郭永懷方法)等。因此,中國的非線性力學研究者,在國家和社會的需要提出如此重大的一些非線性力學問題的時候,在自然科學新觀點又滋生於一大類非線性力學問題的時候,理應繼承力學界前輩的傳統,勇於創新,勇於開拓,做出符合時代要求的貢獻。
配圖
相關連線
參考文獻1陳立群,劉延柱。非線性動力學。上海:上海交通大學出版社,1999
2GleickJ.張淑譽譯。混沌:開創新科學。上海:上海譯文出版社,1990
3陳立群。科學中混沌概念的演化。自然雜誌,14,8(1991):619-624
4HaoBai-Lin.ChaosII.Singapore:WorldScentific,1989
5CvitanovicP.UniversalityinChaos,2nded..Bristol:AdamHilger,1989
6AbrahamR,MarsdenJE.FoundationsofMechanics.Massachusetts:Benjamin,1978
7KuznetsovYA.ElementsofAppliedBifurcationTheory.NewYork:Springer-Verlag,1995
8MandelbrotBB.陳守吉,凌復華譯。大自然的分形幾何。上海:上海遠東出版社,1998
9HurdAJ.Fractals:SelectedReprints.CollegeParkMD:Amer.Asso.Phys.Teacher,1989
10陳立群,劉延柱。振動力學發展歷史概述。上海交通大學學報,31,7(1997):132-136
11陳立群。非線性問題研究中的數值實驗。自然雜誌,16,6(1993):10-13
發表於《長白學刊》1999年第5期184-185頁

