碰撞恢復係數
恢復係數定義
兩物體碰撞後的分離速度與碰撞前的接近速度成正比,這個比值叫做恢復係數,其英文翻譯是Coefficient of restitution。如果碰撞為彈性碰撞,則恢復係數為1,滿足機械能守恆;如果為非彈性碰撞,則恢復係數<1,不滿足機械能守恆,一部分能量轉變為內能,但是動量守恆是始終滿足的;完全非彈性碰撞為0,兩個物體基本上是黏貼在一起,沒有任何彈跳運動。方程式
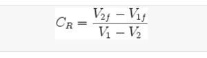
兩個物體碰撞的恢復係數 CR 的方程式為見圖所示:
V1 是第一個物體在碰撞前的速度,
V2 是第二個物體在碰撞前的速度,
V1f 是第一個物體在碰撞後的速度,
V2f 是第二個物體在碰撞後的速度。
閥門恢復係數
在閥門中,附加的試驗係數是在壓力降增加到使流量停止(或接近於不再)增加的流量試驗情況下測定的。這個係數稱之為閥門的恢復係數。因為這個係數值是衡量縮流和閥門出口之間總的壓力恢復的尺度。這個係數用符號Km表示,並定義如下:Km=△Pm/△Pvc=△Pm/(P1-Pvc)
式中:
△Pm—產生阻塞流時閥體上的壓力降,磅/平方英寸;
△Pvc—在阻塞流下閥門入口和縮流處之間的壓力降,磅/平方英寸;
P1—閥門入口壓力,磅/平方英寸絕壓;
P2—在阻塞流下的縮流處壓力,磅/平方英寸絕壓。

