簡介
如果約束方程中包含坐標對時間的導數(如運動約束),而且方程不可能積分為有限形式,這類約束稱為非完整約束。非完整約束方程總是微分方程的形式。
實例
如果車輪沿曲線軌道做純滾動,輪心始終在同一平面,輪心O的位置為(x,y),小輪繞自身軸的轉角為φ。如圖所示。由於車輪與地面接觸點的周向速度為零,於是約束方程為
非完整約束上式不能積分為有限形式,是非完整約束。
圖1推論
某質點系所受的約束中只要有非完整約束,這個質點系就稱為非完整系統,簡稱非完整系。
非完整約束
非完整約束
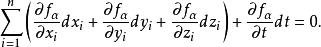
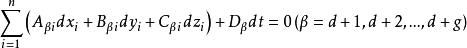
非完整約束設某非完整系統由n個質點組成,內有d個完整約束,g個非完整約束。d個完整約束方程的有限形式和微分形式為g個非完整約束方程只有微分形式,為比較可以看出,完整約束方程和非完整約束方程有相同的形式,差異僅在於:完整約束方程是非完整約束方程的全微分形式。
