描述
當大氣處於靜力平衡的狀態時,一個氣塊受到的空氣浮力和自身重力相等,則會在垂直方向上處於一個平衡位置;當受到外力(動力或熱力)的作用,就會使氣塊偏離平衡位置產生向上或向下的垂直運動;這種偏離平衡位置的垂直運動能否繼續發展,是由大氣溫度和濕度的垂直分布所決定的。大氣所具有的這種影響垂直運動的特徵稱為大氣的靜力穩定度,也稱層結穩定度。
數學定義
運用數學的方式,計算式推導如下:
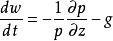
氣塊的垂直加速度等於其所受浮力和重力的和,即
靜力穩定度 | ① |
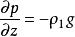
由於靜力平衡,有
靜力穩定度 | ② |
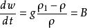
將②代入①,可得氣塊垂直加速度與內外密度差的關係
靜力穩定度 | ③ |
式中 w——垂直運動加速度;
ρ——氣塊密度;
ρ——環境空氣密度;
P ——空氣壓強;
g ——重力加速度;
B ——淨的阿基米德浮力。
根據判據 B,可以得知氣塊的運動趨勢:
B>0,表示加速度為正,即氣塊上升到新位置之後,由於密度比空氣密度小,將繼續上升;
B<0,表示加速度為負,即氣塊上升到新位置之後,由於密度比空氣密度大,將下降;
B=0,表示加速度等於零,氣塊靜止不動。
大氣穩定度和污染
大氣中污染物的擴散情況和大氣穩定度有直接的關係,選擇有利於污染物擴散的天氣形勢排放廢氣,有助於緩解生產帶來的空氣污染。
一般在陰天或者大風的天氣條件下,大氣多呈中性,污染物在垂直方向緩慢均勻擴散,水平方向擴散較好;在太陽輻射強的晴天,大氣為不穩定狀態,污染物在垂直方向上呈現較明顯的起伏運動,垂直擴散較充分,但容易在源地附近堆積,形成一個高濃度區域,造成局地嚴重污染;在晴天的傍晚,近地層容易形成逆溫,此時低層大氣穩定而高層大氣不穩定,則污染物在逆溫層上部向上方擴散,若污染源高度較高,則對地面污染較小;晴天的夜晚,大氣穩定,污染物垂直擴散緩慢,水平方向隨風向緩慢擴散,若污染源高度較低,容易造成地面空氣嚴重污染;日出後2~3小時內,低層大氣形成不穩定層結,高層仍為逆溫,污染物無法向上擴散,只能向下蔓延,造成地面空氣污染嚴重,這是城市和工業區早晨煙霧瀰漫的原因之一。
判據
氣象上常用氣塊法和埃瑪圖法來分析大氣的靜力穩定度。
氣塊法
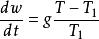
一般使用氣塊內外虛溫差來討論靜力穩定度,可將方程變換為
靜力穩定度 | ④ |
氣塊離開平衡位置之後,溫度變化為
靜力穩定度 | ⑤ |
環境溫度變化為
靜力穩定度 | ⑥ |
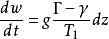
因此可得氣塊加速度為
靜力穩定度 | ⑦ |
式中 T——氣塊溫度;
T——環境大氣溫度;
T——初始溫度;
γ——氣塊垂直減溫率;
Γ——環境垂直減溫率;
根據氣塊和環境垂直減溫率的差值( Γ-γ),可判斷大氣層結穩定度(如圖1):
Γ> γ,氣塊有離開平衡位置的傾向,稱大氣具有負靜力穩定度,即絕對不穩定;
Γ< γ,氣塊有回到平衡位置的傾向,稱大氣具有正靜力穩定度,即絕對穩定;
Γ=γ,氣塊無垂直運動,大氣層結穩定,稱零穩定,即中性。
圖1 層結穩定類型埃瑪圖(T-lnp圖)法
利用埃瑪圖( T-ln p圖)可以更方便的判斷氣層的靜力穩定度,如圖2。判斷依據為:
Γ> γ,氣層達到超絕熱狀態,對於未飽和氣塊和飽和氣塊均為絕對不穩定;
γ>Γ>γ,大氣層結對飽和氣塊是不穩定的,對未飽和氣塊是穩定的,即條件性不穩定;
Γ< γ,對於未飽和氣塊和飽和氣塊均為絕對穩定。
圖2 靜力穩定度類型
靜力穩定度
靜力穩定度
靜力穩定度
靜力穩定度
靜力穩定度
靜力穩定度
靜力穩定度 