基本概念
以介質的電磁性(σ,ε,μ)差異為物質基礎,通過觀測和研究人工或天然的交變電磁場隨空間分布規律或隨時間的變化規律,達到某些勘查目的的一類電法勘探方法,稱為電磁感應法,簡稱電磁法 。
電磁法分為頻率域電磁法(FEM)和時間域(或稱瞬變)電磁法(TEM)。大地電磁法(MT)和可控源音頻大地電磁法(CSAMT)是頻率域電磁法在國內套用最多的兩種方法。具體分類如下表:
電磁法瞬變電磁法
瞬變電磁法(Transient Electromagnetic Methods),又稱時間域電磁法(Time Domain Electromagnetic Methods),簡稱TEM或TDEM,是近年來發展很快的電法勘探分支方法,在國際上有人稱作是電法的“二次革命”。它主要套用於金屬礦勘探、構造填圖、油氣田、煤田、地下(熱)水、凍土帶、海洋地質、水文工程地質及工程檢測等方面的研究。
瞬變電磁測深法是一種時間域電磁法,它是通過階躍波電磁脈衝激發,利用不接地回線向地下發射一次脈衝電磁場,在一次場斷電後,測量由地下介質產生的感應二次場隨時間的變化,來達到尋找各種地質目標的一種地球物理勘探方法。具體來說,瞬變電磁法的測量是利用不接地回線(或電偶源)向地下傳送一次脈衝磁場(或電場),即在發射回線上供一個電流脈衝方波,方波後沿下降的瞬間,將產生一個向地下傳播的一次瞬變磁場,在該磁場的激勵下在地質體內產生渦流,其大小取決於該地質體的導電能力,導電能力強則感應渦流強。在一次場消失後,渦流不會立即消失,它將有一個過渡過程(衰減過程),該過渡過程又產生一個衰減的二次場向地下傳播。在地表用接收線圈接收二次磁場,該二次磁場的變化,將反映地下介質的電性情況,在接收機中按不同的延遲時間測量二次感應電動勢,得到二次場隨時間衰減的特性。由於瞬變電磁測深法是在一次場斷電後測量純二次場,不存在一次場的干擾,此外,從傅立葉變換可知,一個階躍脈衝實際上是由各種高頻和低頻諧波疊加而成的,產生的場是一種寬頻帶電磁波場 。
大地電磁測深法(MT)
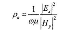
電磁法20世紀50年代初,Tikhonov和cargniard提出大地電磁測深法,該方是利用起源於高空電離層的赤道雷擊的天然場源,假設以平面波形式垂直入射勻各向同性層狀大地表面,並在地表通過測量Ex和Hy(或者場Ey和Hx)並按右式計算大地視電阻率,巧妙地消去與場源有關的因素,成功提取到地下的電學信息確實是電磁法勘探歷史上的一大進步。另外,天然電磁場具有很大的能量且分在較寬的頻帶上,只要選擇合適的頻率區間,MT法可以探測地下數百公里深範圍內的電性變化,這是任何人工源電磁測深所難以達到的,它還具有受高阻禁止的影響小,對低阻層反應靈敏等特點。但是,由於天然場源的隨機性,測量信號的微弱及頻率和大小不定,MT法需要花費巨大努力來記錄和分析野數據,這樣影響了勘探效率,大大提高了勘探成本。同時電阻率計算公式是正交分量之比的平方,兩個分量的觀測誤差都被帶入結果中,再經平方使誤差加放大,影響精度。衍生出的音頻大地電磁法AMT主要研究較淺處的電性變化 。
可控源音頻大地電磁法(CSAMT)
可控源音頻大地電磁法是加拿大多倫多教授D.wstrangway和他的學生MyronGoldstein針對MT法天然場源的隨機性和信號微弱使得MT法的精度和效率都很低這兩個弱點出來的,他們發現,採用可以控制的人工場源,能夠克服MT的缺點。在人工場源的“遠區”,Ex和Hy(或者馬和Hx)之間同樣存在像MT法那樣的關係,援用cargniard的公式計算二者之比可以獲取地下的視電阻率。但遠區測量同時也極大地限制了能夠進行CSAMT測量的區域。CSAMT的另外一個特點是改變頻率進行測深,但是目前國際上流行的CSAMT法因為受儀器的限制導致一個共同的缺點,那就是採用“變頻法”,這種信號發射源的缺點比較明顯:單點生產速度低、掃面速度低、相對精度低。
電法與地震的主要差別
地震以彈性波動方程為基礎,主要依據介質的波場性質,適合尋找大的構造及界面。
電法以麥克斯韋方程為基礎,主要依據介質的電磁性質,根據電性的變化。在找礦方面有著特殊的優勢,現在在海洋油氣藏探測方面也發揮著很大的作用,可以直接指示油氣藏。
電磁法相比於直流電法的優勢
1、探測深度大 。
2、不受高阻層禁止。
3、方法種類多,適合于海洋、航空等特殊環境下的探測,大大提高效率。
4、成本低,速度快。
5、解決問題能力強,套用領域廣,能滿足具備物性前提的各種勘查工作的需要。

