簡介
電磁系統中,儲能元件內電能與磁能不斷相互轉換的過程叫做電磁振盪;若系統受到外界周期性的電磁激勵,且激勵的頻率等於系統的自由振盪頻率,則系統與激勵源間形成電諧振。
產生電磁振盪的最簡單的實例是由電阻 R、電感線圈L和電容器C 所組成的振盪迴路,使其電容器C中儲存的電能與電感線圈 L中儲存的磁能不斷地相互轉換。單迴路振盪電路如圖1所示,圖1a是串聯迴路,圖1b是並聯迴路。
電磁振盪和電諧振串聯RLC振盪迴路中的自由振盪與強迫振盪
若電源電壓為e(t),迴路中電流為i(t),電容器上的電壓為V(t),則可建立如下迴路方程
或
。
自由振盪
迴路方程中激勵電壓e(t)為零時,振盪的性質決定於各參數R、L、C 之間的相對數值。①當
時,迴路電流和元件上電壓都將依時間t按指數規律下降,即因迴路電阻太大,迴路儲存的能量不足以維持振盪一周的消耗,從而不能形成振盪。②當
時,得到一般的自由衰減振盪
,
式中
稱為衰減常數,
為有損耗時自由振盪角頻率,
為無損耗時的自由振盪角頻率或固有頻率。
一般常用無量綱量
作為度量迴路品質的參數,叫做品質因數。ω0與Q是表征迴路特性的重要參數。Q值可表示有損耗時自由振盪角頻率對固有頻率的偏離程度
。
一般情況下,RLC 迴路中Q值均較大, 約為10~105,即使取Q的低值,ω與ω0也只差ω0的0.125%。所以,通常認為單振盪迴路的自由振盪頻率近似為

,可見經過一個振盪周期,幅度將衰減e
倍。參數
有時稱為對數衰減,而
稱為迴路的時間常數,通常以τ 表示。 強迫振盪
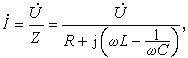
當e(t)≠0時,設外源是按正弦變化的電壓源。用相量表示法,迴路電流可寫為
。迴路的阻抗 Z可表示為
;是在ω=ω0時迴路的Q值;
是迴路的相對失諧。δ=0時迴路與諧振源間發生諧振,且諧振在迴路的固有頻率上,這時電感線圈L和電容器C上的電壓都等於電源電壓的Q0倍。在很多實際套用中,常利用高Q 迴路獲得高壓。δ≠0時,迴路失諧,被迫在電源頻率f下振盪。這時電流為
,
附近(即δ
1時),有近似關係
。
的幅值、實部和虛部為縱坐標,可繪得如圖2所示的通用曲線。其峰值在Q0δ=0點,相對幅值等於1。當Q0δ=±1/2 即ω=ω0(1±1/2Q0)時,相對幅值下降到
,功率下降到1/2。這兩點稱為半功率點。兩半功率點之間所覆蓋的頻率範圍稱迴路的通頻帶。Q0值越大,則通頻帶越窄,迴路的選擇性越好;反之,Q0值越小,則通頻帶就越寬,迴路的選擇性越差。
電磁振盪和電諧振
。
,
諧振時,迴路兩端阻抗為Zb
,
稱並聯諧振電阻,它比迴路電阻R大Q娿倍。若電源是一恆流源,流入迴路的電流為
;電感支路的電流為
;電容支路的電流為
,因
與
近似反相,且
,從而迴路中大部分電流呈回流形式,能量在電容與電感之間相互轉換,形成電磁振盪。從電源輸入迴路的功率Q娿RI2僅用來補償振盪過程中的損耗。
從上述內容可知,當損耗很小時,串聯迴路與並聯迴路呈對偶關係。串聯諧振時電阻為最小,等於R,迴路的電流為最大;並聯諧振時電阻近於最大,等於L/CR,迴路兩端電壓為最大。偏離了諧振點,各量均按通用曲線變化,僅縱坐標所指的變數不同而已。
耦合諧振電路與多諧振現象
兩個或多個具有相同或不同諧振頻率的單振盪迴路通過耦合元件相互接連起來,可以構成複雜的振盪系統,這種系統有時又稱耦合迴路。常用的一些雙耦合迴路如圖3所示。圖3a是利用互感M將兩個單振盪迴路L1C1和L2C2耦合起來的迴路。用耦合係數
表示兩個單振迴路耦合的鬆緊程度,0<K<1。K值大表示緊耦合,K值小表示松耦合。圖4表示兩個具有相同的固有頻率和品質因數的迴路,耦合後在不同的KQ0值下I2/I2m隨Q0δ變化的通用曲線, δ的意義與前同。當KQ0=1時, 諧振出現一個最大值的峰點
當KQ0<1時,只有一個小於最大值的峰點;KQ0>1時,則出現雙峰。振盪時電能與磁能不僅在一個單迴路中相互轉換,而且還在迴路之間相互轉移, 出現了比較複雜的振盪現象。 耦合迴路套用廣泛,常用於級間的耦合及濾波電路中。
電磁振盪和電諧振
電磁振盪和電諧振
