電漿中的粒子碰撞
正文
電漿/帶電粒子(電子) 帶電粒子之間可以產生近距離的碰撞,這種碰撞只是一個粒子和另一個粒子相碰,一次碰撞的結果是至少有一個粒子的速度有明顯的偏轉。
除近碰撞外,帶電粒子之間還存在遠距離的碰撞。由於粒子之間的庫侖作用力是長程力,它的作用範圍一直延伸到以德拜長度為半徑的德拜球,德拜長度比起粒子間的近距離碰撞參量來是一個很長的距離,在這種遠距離的弱相互作用下的碰撞就是遠碰撞,它造成粒子速度的微小偏轉,當這些微小偏轉累積起來,使偏轉達到90°,就相當於一次碰撞。
在電漿中,帶電粒子間的遠碰撞作用一般說來遠大於近碰撞,前者比後者大8lnΛ倍左右,lnΛ稱為庫侖對數,lnΛ≈10,所以,碰撞頻率主要是由遠碰撞決定。
用
表示a類粒子碰b類粒子的碰撞時間,電漿中帶電粒子之間的碰撞時間有 4種:
、
、
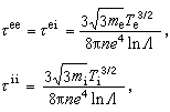
、
,分別表示電子碰電子、電子碰離子、離子碰離子及離子碰電子的碰撞時間。對於熱平衡的電漿,嚴格的計算得到(假設離子是一次電離) 
,
它們之間的相對大小是

,
=



。
