電子對生成
y光子從原子核近旁經過時,在原子核的庫侖場作用下,y光子轉化為一個正電子和一個負電子,這種過程稱為電子對生成(pair production),如下圖所示。電子對生成證明了能量可以轉化為物質。電子對生成的過程發生在原子核附近,只有這樣才能滿足能量和動量守恆定律。產生電子對所需的最小能量為E=2mc2,此處,m是電子的靜止質量。由於一個電子的靜止質量等效於0.51MeV,要產生一個電子對,光子的能量必須大於1.02MeV(稱為產生電子對的能量閾值)。
高於閾能的光子,電子對生成產生的幾率隨原子序數的增加而增加,也隨光子能量增加而增加,能量在1.02—5MeV時,產生電子對生成的幾率增加比較慢,超過5MeV時增加較快。高能光子與原子序數大的物質相互作用時,電子對生成效應是主要的。另外,該過程正比於吸收體的Z,因而,對於高Z物質,電子對生成是主要的。
電子對生成示意圖價層電子對
互斥理論
20世紀60年代初,吉勒斯匹(R.J.Gilespie)和尼霍母(R.S.Nyholm)發展了判斷分子或原子團空間構型的簡單規則,稱為價層電子對互斥理論,簡稱VSEPR理論(va-lence shell electron pair repulsion theory)。
價層電子對互斥理論基本要點:
(1)多原子共價型分子或原子團的幾何構型取決於中心原子的價層電子對數。
中心原子的價層電子對數N等於中心原子形成的σ鍵數,N與孤對電子對數N之和:N=N+N。其中σ鍵數N是與中心原子成鍵的原子數目,凡多重鍵只計σ鍵。孤對電子對數N等於中心原子價電子數減去周圍各成鍵原子的未成對電子數之和後的一半。
(2)價層電子對儘可能彼此遠離以減小排斥力,滿足排斥力最小原則。
電子對問的夾角越小,排斥力越大,不同夾角斥力的大小順序為:30°>60°>90°>120°。
價層電子對的排斥力大小還與價層電子對的類型有關,斥力大小的一般規律如下:孤對電子—孤對電子>孤對電子—成鍵電子對>成鍵電子對一成鍵電子對。
電子對效應
電子對效應的作用結果是光子消失了,同時產生一個電子和一個正電子。要保證能量和動量能夠同時守恆,必須有第三者參加。在電子對效應中,第三者可以是原子核,也可以是核外電子。入射光子的一部分能量2mc(1.02 MeV)用於產生電子對(等於正負電子的靜止質量),剩餘的能量變為電子對的動能T與T以及第三者的反衝能丁反,則有關係
T+ T- = hν—2mc—T
由狄拉克理論很容易理解電子對效應,入射光子作用到負能態電子海洋中的一個負能電子上,使它躍遷到正能態,這時產生一個空穴即正電子,到正能態上的電子即為電子。顯然要產生電子對效應,光子能量至少要大於正負能態的間隔2mc,考慮到反衝能,產生電子對效應的閾能為
hv= 2mc(1+m/M)
M為吸收反衝能的第三者(原子核或電子)的質量。因此,在原子核電磁場中閾值近於2mc,而在電子電磁場中閾值近於4mc,顯然光子主要是與原子核作用產生電子對,在光子能量超過4mc後,光子與電子作用產生電子對的機率逐漸增加,但通常還是比前者小很多注意。在後一情況中,如果反衝電子的動能較大而脫離束縛,則將產生三個電子。此外還可以看到,具有確定能量的光子產生的電子對的動能之和為常數,但單個電子或正電子的能量可以從0到hv一2mc。下圖是理論計算的產生的電子對的能量分布,Φ = rZ(Z+1)/137,σ(T+)是正
產生電子對的能量分布內,低能光子產生各種能量的電子對的機率接近相等,而高能光子作用傾
向於其中一個電子得到絕大部分能量。
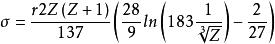
通常總截面盯由微分截面對能量T積分而得,即為圖中曲線下的面積乘以事。而當產生的正負電子能量T+和T-還不夠大,滿足條件137mchv/(2TT-2Z)》1時,電子對產生的距離還未超過原子半徑,可以不考慮核外電子對原子核的禁止,光子在電荷為壓的原子核庫侖場中產生電子對效應的原子總截面是
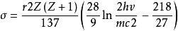
電子對式中,r是電子的經典半徑。當T+和T-很大以至不滿足上述條件時,電子對產生距離超過原子半徑,核外電子對原子核庫侖場形成完全螢幕蔽,電子對效應的原子總截面為
電子對因此,電子對效應截面與原子序數Z 成正比,在光子能量較小時,隨hv增加截面線性增長,然後近於對數增加,當hv很大時,σ近於常數,與光子能量無關。吸收曲線總吸收係數在光子能量很高時,曲線又上升就是由於電子對效應的貢獻,最後平坦不變。

