藥品名稱
【通用名稱】雙氯芬酸鈉雙釋放腸溶膠囊
【英文名稱】Diclofenac Sodium Dual Release Enteric-coated Capsules
【漢語拼音】Shuang Lv Fen Suan Na Shuang Shi Fang Chang Rong Jiao Nang
成份
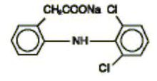
雙氯芬酸鈉雙釋放腸溶膠囊本品主要成份為雙氯芬酸鈉,其化學名稱為2-[(2,6-二氯苯基)氨基]-苯乙酸鈉
其結構式為;
分子式:CHClNNaO
分子量:318.13
所屬類別
化藥及生物製品>>神經系統藥物>>抗偏頭痛藥
化藥及生物製品>>解熱鎮痛抗炎藥>>有機酸類>>羧酸類
性狀
本品為膠囊,膠囊內容物為白色或類白色小丸。
適應症
急性關節炎症和痛風發作、慢性關節炎症、類風濕性關節炎、強直性脊柱關節炎和脊柱的其他炎性風濕性疾病、與關節和脊柱的退行性疾病有關的疼痛、軟組織風濕病、創傷或手術後的腫痛或炎症。
用法用量
正常成人的劑量為一日一次,一次1粒,必要時可增至一日2次,一次1粒,兒童和老年人服用該藥應在醫生的嚴格指導下進行。
不良反應
不良反應常呈劑量依賴性,常見的不良反應為胃腸道不適,如噁心、嘔吐、腹瀉或食欲不振,有時可出現頭痛、頭暈、疲倦、皮疹和胃腸道出血、肝臟或腎臟損害病例的報告罕見,包括血清肝酶水平增高、黃疸、蛋白尿和血尿。
禁忌
已知對雙氯芬酸鈉、乙醯水楊酸、布洛芬和本藥的其他成分過敏者,胃和十二指指腸潰瘍患者,有胃腸道炎性疾病(潰瘍性結腸炎,克羅恩病),黑便或不明原因的血液病病史者。
注意事項
該藥應空腹(餐前)隨足量飲水服用。對易發生胃腸道反應的患者,推薦在進餐的同時服用。如果出現了不良反應,則應停藥。肝、腎功能不全、高血壓病、心臟病或剛作過大手術者慎用。服用該藥可能引起反應能力受損,特別是在飲酒時服用,可能影響駕駛或操作機器的能力,因此服用該藥時應當避免飲酒。
孕婦及哺乳期婦女用藥
本品在妊娠期婦女中的套用沒有充足的研究資料,因此只有在套用本品對孕婦的益處超過對胎兒的潛在危害時方可使用。該藥對胎兒可能產生不良影響,可能影響胎兒的心血管系統,導致動脈導管未閉,因此在妊娠期應避免使用。與其他非甾體抗炎藥類似,雙氯芬酸能夠抑制子宮收縮,可能引起晚產,並增加出血傾向,所以在妊娠期的最後三個月中禁止使用戴芬。由於該藥對嬰兒可能有潛在的危害,因此在權衡該藥對哺乳婦女的重要性後,應決定停止哺乳或停止服用該藥。
兒童用藥
本品在兒童中的安全性和有效性尚未確立。
老年用藥
本品在老年人中的安全性、有效性和不良反應的發生與年輕人沒有顯著差異,但老年人對不良反應的耐受性一般較差,老年人服用該藥應在醫生的嚴格指導下進行。
藥物相互作用
在套用戴芬的同時使用糖皮質激素和乙醯水楊酸等其他解熱鎮痛藥,可增加胃腸道出血的危險。在套用戴芬的同時使用地高辛、苯妥英鈉、鋰劑或甲氨蝶呤,可導致這些藥物在血清中的水平增高。同時套用戴芬和保鉀利尿藥,可導致血鉀水平增高.同時套用戴芬和環孢菌素,可加重環孢菌素對腎臟的損害。
藥物過量
藥物過量的症狀包括身體搖擺、呼吸緩慢或加速、呼吸困難、耳鳴、視力模糊、皮疹、噁心、嘔吐、腹瀉、上腹痛、胃腸道出血、重度頭痛、焦躁、語無倫次,意識模糊、嗜睡、昏迷、驚厥、運動障礙。急救措施:主要的治療措施為支持治療。對服藥不久的患者可套用吐根催吐(患者意識不清和驚厥發作時除外),服藥1小時以內的患者可在服用活性炭後洗胃,服藥1小時以上的患者服用活性炭後—般不必洗胃,可多次服用活性炭,以減少藥物的吸收。理論上可以通過鹼化尿液和利尿促進該藥的清除,但由於該藥的蛋白結合率高,鹼化尿液和利尿沒有明顯益處,血液透析—般不能加快該藥的清除,但在發生腎功能不全和少尿時可以進行血液透析。解毒藥:無。
藥理毒理
藥理學:體內和體外試驗均證明,雙氯芬酸鈉能夠抑制環氧化酶的活性,從而抑制前列腺素的合成,並能夠影響其釋放,因此具有解熱鎮痛的作用。雙氯芬酸鈉可以抑制血小板的聚集,可延長凝血酶原時間。雙氯芬酸鈉有兩種代謝產物也具有生物活性,但活性遠低於雙氯芬酸鈉,其中一種為4-羥雙氯芬酸鈉,其抗炎活性為雙氯芬酸鈉的3%,相當於阿司匹林的6倍。
毒理學∶在小鼠中靜脈給藥的LD50為:雄性116mg/kg,雌性137mg/kg;在大鼠中靜脈給藥的LD50為:雄性127mg/kg,雌性117mg/kg,在狗中口服給藥和靜脈給藥的LD50無顯著差異,為42mg/kg。與吲哚美辛等其他非甾體抗炎藥類似,隨著給藥時間的延長,其毒性反應增加,可以引起胃腸道黏膜損傷,並可導致潰瘍及出血。大劑量套用在大鼠中可見腎功能損傷,其機理尚不明確。猴子對該藥的毒理學反應明顯低於大鼠。生殖毒性研究發現該藥可導致死胎及早產,尚無致畸、致癌、致突變的證據。
藥代動力學
雙氯芬酸鈉在口服給藥時,經胃腸道迅速吸收,在肝臟有很強的首過效應,被吸收的藥物中約50%進入體循環系統。戴芬是雙氯芬酸鈉的的一種新型口服製劑。它由兩種小藥丸組成:一種包有腸溶衣,能夠快速釋放出雙氯芬酸鈉;另一種為緩釋型,能夠長時間保持雙氯芬酸鈉的釋放。兩種小藥丸的配合產生了有利的藥代動力學特性。在緩釋劑型中,有50-60%的雙氯芬酸鈉以藥物原型進入血液循環。快速釋放劑型20分鐘-2小時血藥濃度達到峰值。包衣緩釋劑型1—4小時血藥濃度達到峰值。戴芬的絕對生物利用度為90土11.6%,相對生物利用度54-109%,平均為78%。同食物一起服用時,藥物吸收延遲,血藥濃度波動略增加。藥物進入循環系統後,通過自由擴散分布於炎症部位或關節滑膜液中起效。雙氯芬酸鈉主要由肝臟代謝,半衰期為1—2小時,代謝產物經尿和糞便排出。
貯藏
密封,25℃以下乾燥處保存。

