
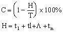
式中C為集中指數,T為全國或全區總人口,ti為各基層地區的人口,n按下述原則確定:將某經濟活動在地域上的分布,按大小順序排列,設為p1、p2…pn,該經濟活動在全國或全地區的總值為p,當p1+p2+…+pn=1/2p時,n即為所求。此時H的意義為:占全國或全地區該項經濟活動半數地區的總人口。H值較大時,C值較小,表示該項經濟活動的地域集中程度較低,區域分布較為均衡;H值較小時,C值較大,表示該項經濟活動集中程度較高,地區差異比較明顯。

集中指數是表明某項經濟活動在地域上集中程度的指標。 ,該經濟活動在全國或全地區的總值為p,當p1+p2+…+pn 此時H的意義為:占全國或全地區該項經濟活動半數地區的總人口。

PMI指數英文全稱Purchase Management Index,中文翻譯為採購經理指數。製造業採購經理指數的縮寫採購經理人指數(Purchasin...
內容 概念含義 計算方法 優勢 套用指數寶是天天基金網繼“活期寶”,“定期寶”之後,於2014年5月推出的“寶寶系”的第三款理財工具,其綁定了天天基金網精選的各種指數基金。買入指數寶,即投...
什麼是指數寶? 指數寶特點 常見指數介紹 指數寶基金介紹“住房痛苦指數”指用來衡量住房經濟困難程度的指標,其計算公式為:商品房的平均售價(平方米)÷人均月收入=住房痛苦指數。從此計算公式可以很直觀地看出,“住...
計算公式 縱橫向比較 詳細對比 不同參照物下對比 中國“住房痛苦指數”一覽表消費者信心指數(ConsumerConfidenceIndex,CCI),是反映消費者信心強弱的指標,是綜合反映並量化消費者對當前經濟形勢評價和對經濟前...
計算方法 歷史 量化編制 歷年數據 構建方式必勝客指數,通過必勝客這一全國價格統一、風格和定位統一的中國西式休閒餐飲連鎖第一品牌,在中國不同城市之間的發展狀態,反映不同城市的消費力、城市活力和國際...
概述 模型 與經濟指標的關聯度 影響力臭氧健康指數:是上海區域氣象中心推出的一項指導市民防護臭氧污染的氣象服務產品,2009年上半年將在全國率先推出。上海科學家通過風雲三號衛星,實時觀測大氣...
概述 環境監測 產品技術 上海首推 霧霾天氣居民收入感受指數,就是居民對當前收入滿意度提高,但對物價上漲反映強烈,中低收入家庭對物價壓力感覺尤其明顯,居民消費意願下降,儲蓄和投資意願增強。央行20...
概述 收入減慢 差距加大 物價上漲 消費增加深證成份股指數,是深圳證券交易所編制的一種成份股指數是從上市的所有股票中抽取具有市場代表性的40家上市公司的股票作為計算對象,並以流通股為權數計算得出的...
實施股擴容 基日與基點 選股與原則 計算與方法 樣本股調整深證成份股指數,是深圳證券交易所編制的一種成份股指數是從上市的所有股票中抽取具有市場代表性的40家上市公司的股票作為計算對象,並以流通股為權數計算得出的...
實施股擴容 基日與基點 選股與原則 計算與方法 樣本股調整