簡介
材料一側的入射聲能與另一側的透射聲能相關的分貝數就是該材料的隔聲量,通常以符號R(dB)表示。隔聲材料或構件,會因使用場合不同,測試方法不同而得出的隔聲效果不同。隔聲材料可使透射聲能衰減到入射聲能的10-3~10-4或更小,為方便表達,其隔聲量用分貝的計量方法表示。
成分結構
凡是能用來阻斷噪聲的材料,統稱為隔聲材料。 隔音材料五花八門,日常人們比較常見的有實心磚塊、鋼筋混泥土牆、木板、石膏板、鐵板、隔聲氈、纖維板等等。 嚴格意義上說,幾乎所有的材料都具有隔音作用,其區別就是不同材料間隔音量的大小不同而已。同一種材料,由於面密度不同,其隔音量存在比較大的變化。 隔聲量遵循質量定律原則,就是隔音材料的單位密集面密度越大,隔音量就越大,面密度與隔音量成正比關係。
不透氣的固體材料,對於空氣中傳播的聲波都有隔聲效果,隔聲效果的好壞最根本的一點是取決於材料單位面積的質量。
隔聲材料一個面積非常大的隔層,其單位面積質量為ms,當聲波從左面垂直入射時,激發隔層作整體振動,此振動再向右面空間輻射聲波。以單位面積考慮,透射到右面空間的聲能與入射到隔層上的聲能之比稱透射係數 τ 。定義無限大隔層材料的傳遞損失(也稱透射損失) :
隔聲材料(1)
上述簡單情況下可計算得到傳遞損失近似為:
隔聲材料(2)
隔聲材料式中 ω=2πf 為圓頻率, ρ0 、c0為空氣的密度和聲波傳播速度。 的大小表示材料的隔聲能力。(2)式的一個重要特點,即材料單位面積質量增加一倍,則傳遞損失增加6db。這一隔聲的基本規律稱 “ 質量定律 ” ,也就是說隔聲靠重量。所以像磚牆、水泥牆或厚鋼板、鉛板等單位面積質量大的材料,隔聲效果都比較好。
(2)式也表明,單層隔聲的高頻隔聲好,低頻差。頻率每提高一倍,傳遞損失就增加6db。
隔聲材料需要說明的是:傳遞損失 是隔層面積為無限大時的理論 “ 隔聲量 ” ,作為一垛牆或樓板,它都有邊緣與其它建築構件連線,這時的 “ 隔聲量 ” 與(1)式所表示的傳遞損失有差別。既有因邊緣接近於固定而增大隔聲能力,也有作為邊緣固定的板振動有一定的共振頻率,使某些共振頻率點上隔聲效果降低的現象。而當作為兩相鄰房間之間的隔牆或樓板,因為兩室之間有多條傳聲(或振動)通道,這兩個房間之間的隔聲量(只能稱聲級差)更不能以該隔層的傳遞損失來代表。
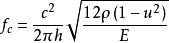
隔聲材料在物理上有一定彈性,當聲波入射時便激發振動在隔層內傳播。當聲波不是垂直入射,而是與隔層呈一角度 θ 入射時,聲波波前依次到達隔層表面,而先到隔層的聲波激發隔層內彎曲振動波沿隔層橫向傳播,若彎曲波傳播速度與空氣中聲波漸次到達隔層表面的行進速度一致時,聲波便加強彎曲波的振動,這一現象稱吻合效應。這時彎曲波振動的輻度特別大,並向另一面空氣中輻射聲波的能量也特別大,從而降低隔聲效果。產生吻合效應的頻率fc為:
隔聲材料(3)
隔聲材料式中 ρ 、 μ 、e分別為隔層材料的密度、泊松比和楊氏模量,h是隔層厚度。任意吻合頻率fc與聲波入射角 θ 有關。在大多數房間中的聲場都接近於混響聲場,到達隔層的入射角從0°到90°都有可能,因此吻合頻率出現在從掠入射( θ=90°) 的 開始的一個頻率範圍,也就是說吻合效應使某一頻率範圍的隔聲效果變差。一般這一頻率範圍發生在中高頻。從質量定律知道,中高頻隔聲量較大,除了內阻尼很小的金屬板外,因吻合效應使中高頻隔聲量降低的現象,不會引起很大的麻煩。
雙層隔聲結構
根據質量定律,頻率降低一半,傳遞損失要降6db;而要提高隔聲效果時,質量增加一倍,傳遞損失增加6db。在這一定律支配下,若要顯著地提高隔聲能力,單靠增加隔層的質量,例如增加牆的厚度,顯然不能行之有效,有時甚至是不可能的,如航空器上的隔聲結構。這時解決的途徑主要是採用雙層以至多層隔聲結構。
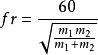
雙層隔聲結構,單位面積質量分別為m1、m2,中間空氣層厚度為l。雙層結構的傳遞損失可以進行理論計算,結果比較複雜,在不同頻率範圍可以得到不同的簡化表示,這裡只作定性介紹。
兩個隔層與中間空氣層組成一個共振系統,共振頻率為fr(m的單位為kg/m2,l的單位為m):
隔聲材料(4)
在此共振頻率附近,隔聲效果大為降低。不過對於重牆來說,此頻率已低於可聞頻率範圍。例如m1為半磚牆250kg/m2,m2為一磚牆500kg/m2,空氣層厚度0?5m,這時共振頻率在7hz左右。
對於輕結構雙層隔聲,共振頻率可能落在可聞頻率範圍內,例如兩層鋁板分別為5?2kg/m2和2?6kg/m2,中間空氣層5cm,可計算出共振頻率約為200hz。這時應在兩板間填塞阻尼材料,以抑制板的振動。一般若用薄鋼板做雙層隔聲結構時,鋼板上都塗好阻尼層來抑制鋼板的振動。
在共振頻率fr以下,雙層隔聲的效果如同沒有空氣層的一層(m1+m2)的隔聲效果;在fr以上一段頻率範圍,雙層隔聲效果接近於兩個單層隔聲的傳遞損失之和;在更高的頻率,當空氣層厚度l為四分之一波長的奇數倍時,雙層隔聲效果相當於兩個單層的傳遞損失之和再加6db,l為波長的偶數倍時,雙層隔聲效果相當於兩個單層合在一起的傳遞損失再增加6db,在其它頻率,傳聲損失在這兩個值之間。所以在總體上,當頻率大於fr時,雙層隔聲結構顯著地提高了隔聲效能。
一般雙層隔聲結構的兩層,不用相同厚度的同一種材料,以避免這兩層出現相同的 吻合頻率。
在設計和施工中要特別注意,兩層之間不能有剛性連線。破壞了固體 —— 空氣 —— 固體的雙層結構,把兩層固體隔層由剛性構件相連,使兩個隔層的振動連在一起,隔聲量便大為降低。尤其是雙層輕結構隔聲,相互之間必須相互支撐或連線時,一定要用彈性構件支撐或懸吊,同時注意需要分割的兩個空間之間,不能有縫或孔相通。“漏氣”就要漏聲,這是隔聲的實際問題。
生產工藝
通過分切、塗膠、裁剪,模壓等深加工方法。製造各種規格,異形規格,滿足廳堂裝飾設計,家電質檢,儀器測試、汽車制模等行業廠家或其它配套企業的需求,根據用戶需要開發不同規格型號隔聲材料,隔聲材料具有密實、質重、阻尼性強、高彈性、耐水性、耐候性佳、耐油性、阻燃性好的結構特徵。
套用領域
電視台、電影院、歌劇院、音樂廳、會議中心、體育館、音響室、家居、商場、酒店、卡拉OK、酒廊、餐廳等。
相關內容
建築構件隔聲的一般規律
1、質量定律
對於隔牆隔聲存在一個普遍的規律,即材料越重(面密度,或單位面積質量越大)隔聲效果越好。對於單層密緻勻實牆,面密度每增加一倍,隔聲量在理論上增加6dB,這種規律即為質量定律。對於雙層的紙面石膏板牆,質量定律發揮著重要作用,即增加板的層數或厚度都可以獲得隔聲量的提高。由於龍骨雙層牆系統聲頻振動形式非常複雜,故質量定律的體現要比單純的單層牆複雜。單層紙面石膏板的隔聲效果很差,例如:12mm厚、面密度10kg/m2左右的紙面石膏板標準計權隔聲量Rw=29dB。即使將四層這樣的紙面石膏板疊和在一起隔聲量理論上Rw也只能達到41dB。輕型勻質牆體,如石膏砌塊、加氣混凝土板、膨脹珍珠岩板、輕質圓孔板等,面密度大多在60-100kg/m2,受到質量定律的限制,隔聲量Rw=35-40dB。對於單層重牆,面密度大於250kg/m2,如120磚牆,90厚空心混凝土砌塊、100厚混凝土牆板等,隔聲量Rw可達45dB左右,面密度超過500kg/m2的240磚牆、200厚混凝土牆等的隔聲量可達50-55dB左右。
2、共振頻率
任何隔牆都存在固有的共振頻率,當聲波的頻率和牆的共振頻率一致時,牆體整體產生共振,該頻率的隔聲量將大大下降。一般地,牆體越厚重,共振頻率越低,當共振頻率低於隔聲評價最低參考頻率100Hz時,由於人耳聽覺特性對低頻不敏感,對隔聲量Rw的影響大大降低。對於12mm和15mm厚兩種不同面密度紙面石膏板存在不同共振頻率。12mm紙面石膏板面密度為10kg/m2,15mm紙面石膏板面密度約12kg/m2。15mm厚的紙面石膏板牆的共振頻率基本低於最低考慮頻率範圍100Hz,因此共振頻率對15mm板構造的牆體構件隔聲性能影響較小。但對於12mm板,100Hz附近的隔聲性能影響較大,造成低頻100Hz、125Hz、200Hz處隔聲量比15mm板下降較多,主要是因為共振頻率的原因。
3、吻合效應
聲波接觸牆板後,牆板除了垂直方向的受迫振動以外,還有沿著板面方向的受迫彎曲振動。在某個特定頻率上,受迫彎曲振動將和板固有的自由彎曲振動發吻合,這時板就非常順從地跟隨入射聲彎曲,造成聲能大量地透射到另一側去,形成隔聲量的低谷,這種現象被稱作吻合效應,該頻率被稱為吻合頻率fc。
理論和實驗均表明,輕、薄、柔的牆fc高,吻合效應弱;厚、重、剛的牆fc低,吻合效應強。12mm、15mm紙面石膏板的fc分別為3.15KHz和2KHz左右。12mm板在3.15KHz處的隔聲量產生下降,15mm板在2KHz處的隔聲量下降更為嚴重,甚至下降的趨勢強過質量定律,造成在這一頻率位置上隔聲量比12mm的板還低很多。雙層相同的板疊合的吻合頻率fc和單層板基本等同,由於雙層發生振動疊加,吻合效應更加劇烈,吻合谷會變得更深。如果使用不同厚度的板進行疊合,吻合谷將彼此錯開,且每個吻合谷都較淺,對隔聲性能有利。雙層板的劇烈吻合效應是非常明顯的,會造成雙層15mm板構造的隔牆在3150Hz附近的隔聲量反倒低於雙層12mm板的隔牆。一層12mm和一層15mm板疊合的隔牆比雙層15mm隔牆的面密度低,但隔聲量反倒會提高,這是吻合效應被減弱的結果。
吻合效應的因素比較複雜,不但與材料的面密度有關,還和材料的彈性模量、厚度、泊松比等條件有關。
紙面石膏板製作工藝中的發泡情況會影響這些因素,包括影響最直接的面密度。從大量的實驗中我們發現,在一定範圍內減小面密度,吻合頻率會變高,而且吻合效應會變弱,對隔聲有利。
有面密度較大、較厚的輕質隔牆,如加氣混凝土板、石膏砌塊等,吻合頻率往往會出現在250-2000Hz的範圍內,越重越厚的輕質板,越在隔聲曲線的低頻範圍內出現很深的“吻合谷”,嚴重限制了牆板的隔聲。即使做成雙層牆,中間附有空氣層,也會因為吻合效應的疊加造成隔聲性不高,例如雙層90加氣混凝土板,中空50mm,隔聲量只能達到48dB左右,而同樣重量的雙排龍骨六層12mm石膏板牆的隔聲量可達60dB,這主要是因為12石膏板的吻合頻率高,吻合效應沒有90加氣混凝土板強烈。
4、聲橋
板材直接固定在龍骨上時,受聲一側板的振動會通過龍骨傳到另一側板,這種象橋一樣傳遞聲能的現象被稱為聲橋。聲橋越多、接觸面積越大、剛性連線越強,聲橋現象越嚴重,隔聲效果越差。在板材和龍骨之間加彈性墊,如彈性金屬條或彈性材料墊對紙面石膏板牆隔聲有一定的改善量,最多可以提高3dB。此外,輕鋼龍骨本身剛度比較小,對兩側板材的聲橋作用要好於矩形截面的木龍骨和石膏龍骨,輕鋼龍骨石膏板隔牆要比相同構造的木龍骨和石膏龍骨隔牆隔聲效果好。
對於輕鋼龍骨石膏板牆,為了減少聲橋,獲得更高的隔聲量,有時將龍骨結構做成錯列結構和雙層結構。錯列結構是豎龍骨錯列分立,兩邊板不同時固定在一根龍骨上,天地龍骨共用一套;雙層結構是天地龍骨和豎龍骨分別做兩層,中間沒有任何連線,板固定在各自的龍骨上。理論上講,錯列龍骨隔牆隔聲優於普通龍骨隔牆,可以提高1-3dB;雙層龍骨隔牆隔聲優於錯列龍骨隔牆,比普通龍骨隔牆可以提高7-8dB。隔聲量提高是聲橋減弱了的緣故。
5、板縫和孔洞
隔牆上如果出現縫隙和孔洞,會大大降低隔牆的隔聲量。假如隔牆牆體本身的隔聲量達到50dB,而牆上有萬分之一的縫隙和孔洞,則綜合隔聲量將下降到40dB。為了防止石膏板牆和原結構之間的縫隙,通常在牆體四周安裝龍骨時墊入塑膠彈性膠條。另外,當每面兩層石膏板時,應錯縫安裝,裡層可以不勾縫,只對外層勾縫,這對隔牆隔聲量影響不大。但是每面一層板時必須勾縫,否則隔聲量將會下降12-17dB。
隔聲材料和吸聲材料的區別
當前,噪聲已成為一種主要的環境污染,建築物的聲環境問題越來越受到人們的關注和重視。選用適當的材料對建築物進行吸聲和隔聲處理是建築物噪聲控制工程中最常用最基本的技術措施之一。
由於對噪聲控制的手段缺乏了解,“吸聲”和“隔聲”作為完全不同的概念,常常被混淆了。玻璃棉、岩礦棉一類具有良好吸聲性能但隔聲性能很差的材料被誤稱為“隔聲材料”,早年一些以植物纖維為原料製成的吸聲板被命名為“隔聲板”並用以解決建築物的隔聲問題。為了合理使用材料、提高建築物噪聲控制效果,對“吸聲”和“隔聲”這兩個概念有進一步了解和明確的必要。
材料吸聲和材料隔聲的區別在於, 材料吸聲著眼於聲源一側反射聲能的大小,目標是反射聲能要小。吸聲材料對入射聲能的衰減吸收,一般只有十分之幾,因此,其吸聲能力即吸聲係數可以用小數表示; 材料隔聲著眼於入射聲源另一側的透射聲能的大小,目標是透射聲能要小。
這兩種材料在材質上的 差異是:
吸聲材料對入射聲能的反射很小,這意味著聲能容易進入和透過這種材料;這種材料的材質應該是多孔、疏鬆和透氣,這就是典型的 多孔性吸聲材料,在 工藝上通常是用纖維狀、顆粒狀或發泡材料以形成多孔性結構; 結構特徵是:材料中具有大量的、互相貫通的、從表到里的微孔,也即具有一定的透氣性。當聲波入射到多孔材料表面時,引起微孔中的空氣振動,由於摩擦阻力和空氣的黏滯阻力以及熱傳導作用,將相當一部分聲能轉化為熱能,從而起吸聲作用。
隔聲材料對減弱透射聲能,阻擋聲音的傳播,就不能如同吸聲材料那樣多孔、疏鬆、透氣,相反它的材質應該是重而密實,如鋼板、鉛板、磚牆等一類材料。隔聲材料材質的要求是密實無孔隙或縫隙;有較大的重量。由於這類隔聲材料密實,難於吸收和透過聲能而反射能強,所以它的吸聲性能差。
在工程上,吸聲處理和隔聲處理所解決的目標和側重點不同,吸聲處理所解決的目標是減弱聲音在室內的反覆反射,也即減弱室內的混響聲,縮短混響聲的延續時間即混響時間;在連續噪聲的情況下,這種減弱表現為室內噪聲級的降低,此點是對聲源與吸聲材料同處一個建築空間而言。而對相鄰房間傳過來的聲音,吸聲材料也起吸收作用,從而相當於提高圍護結構的隔聲量。
隔聲處理則著眼於隔絕噪聲自聲源房間向相鄰房間的傳播,以使相鄰房間免受噪聲的干擾。
可以看出,利用隔聲材料或隔聲構造隔絕噪聲的效果比採用吸聲材料的降噪效果要高得多。這說明,當一個房間內的噪聲源可以被分隔時,應首先採用隔聲措施;當聲源無法隔開又需要降低室內噪聲時才採用吸聲措施。
吸聲材料的特有作用更多地表現在縮短、調整室內混響時間的能力上,這是任何別的材料代替不了的。由於房間的體積與混響時間成正比的關係,體積大的建築空間混響時間長,從而影響了室內的聽聞條件,此時往往離不開吸聲材料對混響時間的調節。對諸如電影院、會堂、音樂廳等大型廳堂,可按其不同聽音要求,選用適當的吸聲材料,結合體型調整混響時間,達到聽音清晰、豐滿等不同主觀感覺的要求。從這點上說,吸聲材料顯示了它特有的重要性,所以通常說的聲學材料往往指的就是吸聲材料。
吸聲和隔聲有著本質上的區別,但在具體的工程套用中,它們卻常常結合在一起,並發揮了綜合的降噪效果。從理論上講,加大室內的吸聲量,相當於提高了分隔牆的隔聲量。常見的有隔聲房間、隔聲罩、由板材組成的複合牆板、交通幹道的隔聲屏障、車間內的隔聲屏、管道包紮等等。
吸聲材料如單獨使用,可以吸收和降低聲源所在房間的噪聲,但不能有效地隔絕來自外界的噪聲。當吸聲材料和隔聲材料組合使用,或者將吸聲材料作為隔聲構造的一部分,其有利的結果,一般都表現為隔聲結構隔聲量的提高。
建築隔牆材料及隔聲構件
為了合理地選用材料,提高建築物吸聲和隔聲處理的效果,首先從概念上將吸聲、隔聲、吸聲材料、隔聲材料區別開來,應當是建築物噪聲控制中首要的基本問題。
大部分國家八十年代及以前的建築,隔牆大多採用粘土磚,240mm粘土磚牆的隔聲量在50dB以上,隔聲效果好。但當今的建築隔牆已發生了根本性的變化.一方面,為了環保需要,建築已禁止使用粘土磚,因為製作粘土磚會破壞耕地;另一方面,由於新型建築體系以及高層建築要求自重輕,使隔牆結構趨向於輕薄。輕質牆體的隔聲量普遍較低,單層牆一般都達不到50dB.通常在45dB以下,這就使得隔聲效果與傳統的粘土磚牆相比要差。
目前常用的隔牆材料和構件主要有5大類 ,它們的隔聲狀況大體如下:
(1)混凝土牆
200mm以上厚度的現澆實心鋼筋混凝土牆的隔聲量與240mm粘土磚牆的隔聲量接近,150~180mm厚混凝土牆的隔聲量約為47~48dB,但面密度200kg/m2的鋼筋混凝土多孔板,隔聲量在45dB以下.
(2)砌塊牆
砌塊品種較多,按功能劃分有承重和非承重砌塊。常用砌塊主要有陶粒、粉煤灰、爐渣、砂石等混凝土空心和實心砌塊;石膏、矽酸鈣等砌塊。
砌塊牆的隔聲量隨著牆體的重量厚度的不同而不同。面密度與粘土磚牆相近的承重砌塊牆,其隔聲性能與粘土磚牆也大體相接近.水泥砂漿抹灰輕質砌塊填充隔牆的隔聲性能,在很大程度上取決於牆體表面抹灰層的厚度.兩面各抹15mm~20mm厚水泥砂漿後的隔聲量約為43~48dB,面密度小於80kg/m2的輕質砌塊牆的隔聲量通常在40dB以下.
(3)條板牆
砌築隔牆的條板通常厚度為60mm~120mm,面密度一般小於80kg/m2,具備質輕、施工方便等優點.
條板牆可再細劃為兩個分類:一類是用無機膠凝材料與集料製成的實心或多孔條板,如(增強)輕集料混凝土條板、蒸壓加氣混凝土條板、鋼絲網陶粒混凝土條板、石膏條板等,這類單層輕質條板牆的隔聲量通常在32~40dB之間;另一類是由密實面層材料與輕質芯材在生產廠預複合成的預製夾芯條板,如混凝土岩棉或聚苯夾芯條板、纖維水泥板輕質夾芯板等。預製夾芯條板牆的隔聲量通常在35~44dB之間.
(4).薄板複合牆
薄板複合牆是在施工現場將薄板固定在龍骨的兩側而構成的輕質牆體。薄板的厚度一般在6mm-12mm,薄板用作牆體面層板,牆龍骨之間填充岩棉或玻璃棉。薄板品種有紙面石膏板、纖維石膏板、纖維水泥板、矽鈣板、鈣鎂板等.
薄板本身隔聲量並不高,單層板的隔聲量在26~30dB之間,而它們和輕鋼龍骨、岩棉(或玻璃棉)組成的雙層中空填棉複合牆體,卻能獲得較好的隔聲效果.它們的隔聲量通常在40~49dB之間.增加薄板層數,牆的隔聲量可大於50dB.
(5).現場噴水泥砂漿面層的芯材板牆
該類隔牆是在施工現場安裝成品芯材板後,再在芯材板兩面噴復水泥砂漿面層。常用芯材板有鋼絲網架聚苯板、鋼絲網架岩棉板、塑膠中空內模板。
這類牆體的隔聲量與芯材類型及水泥砂漿面層厚度有關,它們的隔聲量通常在35~42dB之間.
綜上所述,目前國內外有相當一部分的輕質隔牆隔聲性能較差,單層牆的隔聲量滿足不了住宅分戶牆的最低隔聲要求,僅能用於套內隔牆。為提高輕質隔牆的隔聲量,國內外建築聲學工作者都已進行了大量的研究工作,積累了一定的經驗。以下是牆板隔聲的一些基本特性和規律:
1. 隔聲量隨材質的不同而有變化
單層均勻密實牆板的隔聲量服從建築聲學的“隔聲質量定律”,即隔聲量與構件單位面積的重量成正比,面密度每增加一倍,隔聲量大約提高4~5dB.聲波投射於牆板時,重的牆比輕的牆不易激發振動,低的頻率比高的頻率容易激發振動,因此,重牆比輕牆隔聲好,高頻比低頻隔聲好.
輕質隔牆的面密度受限制,欲提高它們的隔聲量,套用雙層或多層複合構造.
2. 空氣層的設定
採用雙層牆構造,並在兩層牆之間留一定空氣層間隙,由於空氣層的彈性層作用,可使總牆體的隔聲量超過質量定律.
3. 吸聲材料的套用
在雙層牆的空氣層中放置吸聲材料,將進一步提高雙層牆的隔聲量.並且吸聲材料的厚度愈大、吸聲材料的吸聲性能愈好,隔聲量的提高也就愈顯著.
雙層牆空氣層中放置吸聲材料,對於輕質雙層牆來講,其效果比重質的雙層牆中更為顯著.
4. 應注意聲橋的出現
雙層牆的空氣層之間應儘量避免固體的剛性連線──聲橋.若有聲橋存在,將破壞空氣層的彈性層作用,使隔聲量下降.
空心板隔牆或空心砌塊隔牆的空心部分,雖然能減輕牆體重量,但對隔聲不利.對空心板、空心砌塊之類的建築構件以及砌築起來的空斗牆等,其內空腔不能誤認為是能起隔聲作用的空氣層.因為這些空腔的周圍是百分之百剛性連線的聲橋,完全不起空氣層的彈性作用.同材質的空心板與實心板相比,在面密度相同時,前者的隔聲量將低於或近似等於後者的隔聲量.
5. 抹灰層可增加隔聲量
孔洞與縫隙對隔聲有極大的不利影響,牆體上細微的孔洞、縫隙會使高頻隔聲下降,隨著孔洞或縫隙的加大,高頻隔聲量逐漸下降,且影響向中、低頻擴展.
一些輕骨料的空心砌塊牆,由於砌塊材料中存在大量相互貫通的小孔和細縫,砌塊砌築完畢後必須在牆體表面進行抹灰(密封)處理,否則隔聲量很低.例如,某190mm厚陶粒空心砌塊砌築的牆體,表面不抹灰時隔聲量低於20dB,抹灰層的厚度增加到30mm以後,牆體的隔聲量達到50dB.
6. 不同材質的板可避免“吻合”現象
牆板被聲波激發進行彎曲振動時,在一定頻段會發生吻合效應,形成隔聲低谷.吻合頻率不僅與牆板剛度和面密度有關,而且隨板厚增加,頻率下移.
雙層薄板複合牆兩面的牆板,選用兩種不同厚度或不同材質的板,可防止兩板同時發生吻合現象,使得兩面板的吻合谷相互錯開,從而改善牆體的隔聲性能.
吸聲,對同一個空間,改變室內聲場的特性。吸聲的主要作用是吸收室內的混響聲,對直達聲不起作用,也就是說吸聲可提高音質,但對降噪能力效果不好;且吸聲材料是以多孔、疏散的材質,隔聲則是以密質為主的;
隔聲,相對兩個空間的,隔聲的主要作用就是隔斷聲音從一個空間到另一個空間,防止噪聲的干擾。隔聲材料材質的具體要求是:密實無孔隙、有較大的重量.
但是一般在進行降噪處理時都是吸、隔聲相結合來治理,即運用隔聲隔斷外來的噪聲及室內噪聲傳於外面,再用吸聲調解室內的混響聲.建築物的圍護結構如牆體、門、窗、樓板及屋頂的隔聲,直接涉及戶外交通、施工以及鄰居生活噪聲的傳入和工廠生產設備噪聲、機房以及迪斯科舞廳等室內高噪聲的向外傳播影響周圍環境。因此,建築隔聲材料是獲得安靜聲環境的技術保證,室內低的環境噪聲也是室內良好音質的基本條件.
隔聲就是降低從聲源到目的地的聲壓級水平.從能動性角度看,隔聲措施分為主動和被動兩種;但常採用的是被動方法----即使聲能轉化為另一種形式的能量消耗掉。

