分類
根據激振源的不同,隔振可分為兩類。對於本身是振源的設備,為了減少它對周圍機器、儀器和建築物的影響,將它與支承隔離開,以便減小傳給支承上的不平衡慣性力,稱為積極隔振,又稱主動隔振。水泵、發動機、鍛錘機械等的隔振就屬此類。積極隔振係數η表示積極隔振效果;它等於隔振後傳到地基上的力除以未隔振時傳到支承上去的力。對於振源來自支承振動的情況,為了減少外界振動傳到系統中來,把系統安裝在一個隔振的台座上,使之與地基隔離,這種措施稱為消極隔振,又稱被動隔振。車輛的乘座、精密儀器的安裝、環境運輸的包裝、艦艇上飛彈發射架的隔振等都屬此類。消極隔振係數η表示消極隔振效果,它等於隔振後機器設備的振幅除以支承運動的振幅。隔振係數小表示隔振效果好。兩類隔振係數的計算公式是相同的。
對於單自由度隔振系統,
隔振
隔振
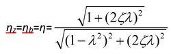
隔振式中 η為隔振係數; λ= , ω為激勵頻率, ω為隔振系統固有頻率; c為粘性阻尼係數, c為臨界阻尼係數。
隔振
隔振隔振係數公式可用圖1中的曲線表示。從圖上可以看出:①只有當頻率比λ>時,才有隔振效果,且隨著λ增加,隔振效果也逐漸增大,實用中取λ=2.5〜5;②增大阻尼可以減小機器在起動和停車過程中經過共振區(見線性振動)的振幅,但在時,阻尼的增加反而減小隔振效果;③常用的隔振器材由於阻尼係數不大,在λ=2.5〜5範圍內計算隔振係數時,可按無阻尼情況考慮。
隔振係數公式依據下列假設:機器或設備是剛體,地基是無限大的剛體;隔振器由無質量的線性彈簧和無質量的粘性阻尼器組成。實際情況和假設有出入,故隔振係數的實際公式也同理論公式有出入。近代研究發現隔振器在用於低頻激振時很有效,但用在高頻時效果不夠理想。當激振力頻率增大時,隔振係數的曲線中出現了一系列峰值(圖2)。主要原因是高頻振動在結構中以彈性波形式傳播,激起了結構介質的波動效應。為了改善高頻時的隔振效果,除採用波動效應小的橡膠彈簧代替金屬彈簧外,目前還發展了雙質量隔振系統,並已用於艦船等設備中。
圖2考慮波動效應後的隔振係數曲線有時被隔振的機械或儀器可能受到幾個方面的激勵(見振動),此時隔振設計應按多自由度系統進行,即應考慮被隔振物體的直線振動、扭轉振動以及它們之間的耦合振動。
隔振設計的要點
隔振
隔振隔振設計的要點是:首先要對環境振源進行調査,包括振源類別、量級、方向和頻率範圍等項目;其次根據隔振體本身的重量和隔振要求,按頻率比λ≥2.5〜5進行計算,選擇減振器型式、裝配方式和參量(阻尼係數、剛度);最後用儀器測試校核隔振效果,驗算隔振係數。
常用的隔振器材有天然或人造橡膠製品、金屬彈簧製品、不鏽鋼絲網製品以及近十年出現的多種高分子化合物的粘彈性材料製品。這些器材既可用來隔振,又能起抗沖、降噪作用。
隔振
隔振把機械安裝在合適的彈性裝置上以隔離機械振動傳播的措施。依振源的不同有兩種性質不同的隔振措施(圖1)。如果機械本身是振源,應使它與支承隔離,以減少對周圍的影響,這稱為主動隔振。如振源來自支承的運動,為減少外界振動對機械的影響,須使支承與機械隔離,這稱為被動隔振。
隔振
隔振隔振係數 η表示隔振的效果。主動隔振係數 η與 η概念不同,但計算公式相同。其值越小隔振的效果越好。對於單自由度隔振系統式中 λ= ω/ ω為頻率比,即激勵頻率 ω與隔振系統固有頻率 ω之比, ζ為阻尼比。根據隔振係數曲線(圖2):①無論阻尼大小,只有當頻率比時才有隔振效果,而後隨 λ的增加隔振效果逐漸增加,實用中取 λ=2.5~5已經足夠;②增大阻尼可減小機械在起動和停車過程中經過共振區時的振幅,但在後,增大阻尼反而減小隔振效果;③由於一般隔振材料阻尼係數不大,在 λ=2.5~5範圍內計算隔振係數時,可按無阻尼情況考慮。具體的隔振措施有設定彈性支撐物和防振溝等。對於隔振效果要求很高的精密儀器,一般採用多層隔板;對於多向激勵、多種回響的複雜隔振系統,則要考慮直線振動、扭轉振動和它們之間的耦合,隔振係數須按多自由度模型進行計算。當頻率比 λ變化較大時,如寬頻帶激勵和重量變化大的機械,採用非線性隔振系統可以收到較好的隔振效果。在隔振設計中,根據振源振動量的大小、方向和頻率,以及被隔振機械的尺寸、重量和隔振要求,確定隔振裝置的參數和結構型式。

