建築設備隔振
正文
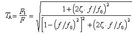
為防止建築物中的某些設備產生的振動危害建築結構和干擾環境而在設備和建築物之間裝設隔振元件,減弱設備振動的傳遞的措施。建築物中常用的易產生振動的設備有風機、泵、冷凍機和空氣壓縮機等。在進行工程設計時,應儘量選用振動較小的工藝流程和設備。對設備進行隔振,必須了解其振動特性、可能產生的後果、容許使用的標準和所需的隔振效率,併合理地確定設備安裝位置、支承結構和選用適當的隔振元件。隔振原理 隔振按振動的傳遞方向分為:①積極隔振,即減弱由機器設備擾動而傳出的振動,設備隔振屬於此類;②消極隔振,即減弱通過房屋基礎和設備基礎所傳入的振動,如精密儀器隔振,播音室、錄音室、聲學實驗室等採用的固體聲隔聲。兩者目的雖然不同,但都是在物體與基礎之間裝設隔振元件,並允許兩者之間有相對運動而實現的。隔振效果用傳遞率TA來描述,TA為設備振動干擾傳遞給基礎的力F1和干擾力F之比,其關係為:


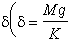
時,才有隔振效果。f0與隔振系統的靜態壓縮量
,M為質量,g 為重力加速度,K為隔振元件的倔強係數
有關,即
。在實際套用中常用隔振效率ηr來表示隔振效果: ηr=1-TA
建築設備隔振
建築設備隔振
建築設備隔振安裝和布置 當設備不與驅動電機組成一個單元時,必須安裝在公共機座上,再由隔振元件支承,機器設備與機座的重心應在垂直方向與支承重心吻合。隔振系統最常用的布置方式是將相同的隔振元件對稱布置,通常採用4~6個支點支承。當設備重量分布不均勻時,應按相同的靜態壓縮量來選用各個隔振元件,或用惰性塊進行調整,使隔振元件受力均勻。
設備隔振 指建築中常用的設備包括風機、泵、壓縮機等的隔振。
風機 主要驅動頻率為:軸轉數×葉片數。大型風機轉速為1000~1600轉/分,根據其轉子頻率,須用固有頻率較低的隔振元件,支承在厚度至少為5厘米的混凝土樓板上,或安裝在惰性塊上,再進行隔振。
泵 離心泵通常有數個轉子,轉速又較高,可採用固有頻率較高的隔振元件。往復式泵的轉速低而缸數少,必須安裝在惰性塊上,並在管道上安裝軟管(圖3)。
建築設備隔振防止振動短路和管道隔振 套用隔振元件後,必須防止出現振動短路,即在各房間之間,通過管道、電氣管線或未採取隔振措施的緊固件等傳遞振動的現象。當螺栓穿過隔振元件時,應採用橡膠等彈性墊圈和套管,以防止金屬件之間的振動短路(圖4)。管道隔振通常採用局部配置橡膠軟管,隔振降噪效果良好。
建築設備隔振C.W.Harris,C.E.Crede,Shock and Vibration Handbook, 2nd ed., McGraw-Hill, New York 1976.
I. D. Irwin,E.R.Graf,Industrial Noise and Vibration Control, Prentice Hill, New Jersey,1979.

