簡介
橡膠隔振器採用橡膠為主體的隔振器。其特點是承載能力低、剛度大、有蠕變效應。阻尼係數為0.15~0.30。可製成各種形式.以便自由選取三個方向的剛度。多用於機器隔振。荷載較大時,做成承壓式;較小時做成剪下狀。應避免日曬及油和水的侵蝕。
橡膠
橡膠是一種非線性彈性材料,只有在變形較小時,才可以近似地看作為線性彈性材料。橡膠加工方便,可根據需要,製成各種形狀和各種不同硬度的隔振器件。
橡膠一般分為天然橡膠和合成橡膠兩大類。天然橡膠主要由橡膠樹割取的橡膠漿經加工而成。天然橡膠的強度、延伸性、耐磨性和耐寒性等物理、機械性能較好,與金屬材料能夠牢固粘合,其缺點是在光、熱、氧、有汽油作用下易老化,耐油性和耐熱性較差。常用溫度應<60℃;低於-10℃時硬度提高快。
合成橡膠是由各種單體經聚合反應而生成的。目前常見的合成橡膠有丁腈膠、丁基膠、氯丁膠等。它們的性能各有優劣,丁腈膠耐油性、耐熱性較好;丁基膠耐寒性、耐酸性較好;氯丁膠耐候性能較好,常用於對防老化要求較高的地方。丁腈膠與氯丁膠能夠與金屬牢固粘合。
橡膠的共同特點是阻尼較大,固有頻率較低,能有效的抑制共振時的振幅。受壓時容積壓縮量很小,30°硬度時為6%,80°硬度時為4.7%。受壓變形量>20%厚度時,其質變硬。
橡膠有“彈性後效”現象,即橡膠在受壓縮後約20min內變形很快,以後變形很慢,約到12天后,變形才增大到50%。可見在安裝橡膠減振器件後,要過一段時間它的形狀、尺寸才能最終確定。
振動頻率對橡膠的變形也有影響,在一定溫度下,頻率越高,變形越小。高頻振動易使橡膠失去彈性。
溫度對橡膠的彈性也有一定影響,當工作溫度低於-30℃時,橡膠的彈性顯著降低,因此不宜在嚴寒條件下工作。同時橡膠也不耐高溫,工作溫度不應超過70~80℃。
主要參數
(1)橡膠的硬度
硬度反映的是橡膠的機械性能。材料抵抗其他物體刻劃或壓入其表面的能力用硬度表示。材料硬度的測定應根據不同材料採用不同的測定方法。橡膠的硬度常用回跳法測定,由此測定的硬度稱為肖氏(或旭爾)硬度。橡膠的硬度低時,強度低,彈性好,阻尼小;硬度高時,強度高,彈性變差,阻尼增大,耐久性降低。橡膠的硬度一般在30~80度。作為隔振材料使用時,宜選取肖氏硬度在40~70度的橡膠為宜。
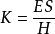
橡膠彈性模量(2)橡膠的彈性模量
彈性模量是材料在彈性極限內應力同應變的比值,是衡量材料在彈性範圍內受力時變形大小的參數之一。當一塊橡膠塊受到一個軸向壓力W時,其壓縮量為X,則其彈性模量層為
橡膠隔振器式中,W——軸向壓力,N;
H——橡膠塊原高,cm;
S——橡膠塊橫截面積,cm ;
x一橡膠塊被壓縮量,又稱靜位移,cm。
根據橡膠所受壓力的變動情況,又將其彈性模量分為靜態彈性模量和動態彈性模量。橡膠在靜荷載作用下的彈性模量稱為靜態彈性模量,常用Es表示,它與橡膠硬度的關係如圖所示。橡膠的靜態彈性模量還與橡膠塊的形狀和溫度有關。
動態彈性模量是橡膠在振動荷載作用下的彈性模量,常用Ed表示。動態彈性模量常用實驗的辦法取得。由於橡膠在動態變形時,一方面要使分子變形;另一方面又要克服分子間的摩擦力,所以動態彈性模量大於靜態彈性模量。橡膠的動、靜態彈性模量的比值又稱動態係數,在一般情況下,d=Ed/Es為1.2~2.8左右,如天然橡膠d約為1.2~1.6;氯丁橡膠d約為1.4~2.8;丁腈橡膠d約為1.5~2.5;與橡膠類似的彈性材料,如乳膠海綿d值約為2.4~3.1;礦渣棉為1.5,玻璃纖維板為1.2~2.9;軟木為1.8~2.2;毛氈一般大於2。
(3)橡膠的剛度
剛度也叫“勁度”,是材料在受到荷載時抵抗變形的能力,剛度大則變形小。剛度的大小取決於材料的種類和形狀、尺寸等。剛度常用K表示,單位為N/cm。剛度與彈性模量的關係是:
橡膠隔振器式中,E——橡膠彈性模量,N/cm ;
S——橡膠塊橫截面積,cm ;
H——橡膠塊原高,cm。
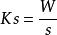
根據材料荷載情況,剛度分為靜剛度和動剛度,分別用Ks和Kd表示。靜剛度為
橡膠隔振器材料的動剛度常用實驗方法求得,最常用的方法是自振法。
橡膠的容許應力(4)橡膠隔振塊的變形量和容許應力
橡膠隔振塊在受到壓力時,沿壓力方向被壓縮,一般要求相對變形應控制在原高度H的15%一25%範圍內,設其靜態壓縮量為x,則
橡膠隔振器實驗表明,相對變形控制在這個範圍內時,彈性模量的變化較小,約為5%。
橡膠隔振塊的承壓面積應儘量採用方形或圓形,其邊長或直徑應控制在4H≥D≥H範圍內。式中D可為圓形承壓面的直徑,也可表示為方形承壓面的邊長或矩形承壓面短邊的邊長。
橡膠在不同工作狀態下的容許應力如圖。由於橡膠隔振塊的相對變形控制在15%一25%蒞圍內,因此在設計時實際應力應小於容許應力。當選用橡膠的肖氏硬度在40度以上時,實際應力約為容許應力的10%左右,即取30-50 N/cm 。當硬度在40度以下時,實際應力應取10-30N/cm 。
分類
橡膠隔振器不同類型橡膠隔振器按受力方式可分為壓縮型、剪下型和壓縮剪下型。
(1)壓縮型橡膠隔振器
此型隔振器一般能承載大載荷,多使用於載荷大或安裝部位空間尺寸小的場所。壓縮型在形狀結構上還可做成多種樣式,以適應各工況要求,諸如為圓形、方形及其他形狀,外凸或內凹,中間還可有開孔或夾層等。
(2)剪下型橡膠隔振器
這類隔振器多用於主作用方向剛度要求低的場合,或用於輕負荷低轉速的機械隔振上,其隔振效果好,但穩定性稍差。形狀結構也可多樣化。
(3)壓剪型橡膠隔振器
此類隔振器從截斷面上看,是一種斜向放置的壓縮橡膠隔振器。其結構形狀多變,內外形各別。受力角度主要是壓與剪。常用於隔振與穩定都要求高的場合,有時工作場合需要三向等剛度隔振器,則大多通過組合結構形狀來解決。
套用及特點
橡膠隔振器是以金屬件為骨架,橡膠為彈性元件,用硫化粘結在一起的隔振元件,故有時也稱其為金屬橡膠隔振器,是目前套用最多的一類隔振器,主要用於通用機械設備(通風機、壓縮機、水泵、空調機組等)和各種發動機隔振;汽車、火車、城市軌道交通、飛機、船舶等交通設備更是離不開橡膠隔振器;有些衝壓和鍛壓設備也採用橡膠隔振器隔離振動。
橡膠隔振器主要特點是:
(1)可自由地選取形狀和尺寸,製造比較方便,硬度變化調整容易,可根據需要任意選擇三個相互垂直方向上的剛度,改變橡膠形狀及內、外部構造,可以適應大幅度改變剛度和強度需要。
(2)橡膠材料具有適量的阻尼,可以吸收振動能量,對高頻振動能量的吸收尤為見效,通常在30Hz以上已相當明顯,安裝有橡膠隔振器的振動機械在通過共振區時,甚至在接近共振區時也能安全地使用,不會產生過大的振動,不需另外配置阻尼器。
(3)橡膠隔振器能使高頻的結構噪聲顯著降低(通常能使100~3200Hz頻段中的結構噪聲降低達20dB左右),這對控制噪聲極為有利。
(4)抗衝擊性能也較佳。
(5)橡膠隔振器的缺點是受日照、溫度、臭氧等環境因素影響,易產生性能變化與老化,在長時間靜載作用下,有蠕變現象,對工作環境條件適應性也較差,因此要定期檢查,以便及時更換,一般橡膠隔振器可使用3~5年。
選用與安裝
橡膠隔振器件安裝的基本原則是必須盡力使每個隔振器件的靜態壓縮量保持一致,防油污、避高溫、盡力減少各處溫差。
橡膠隔振器可直接置於地坪上,也可在隔振器與地坪之間放一塊2~5mm厚的橡膠墊。如果機械設備運行時,使隔振器受到較大的動態力,則應將隔振器錨固在地坪上,如用地腳螺栓與地坪連線。錨固時須防止振動短路。隔振器安裝好後,應校正機器水平,必要時,可用墊鐵調整。
橡膠隔振墊一般均墊放在機座下,並儘量均勻地分布在機座的四周。每塊墊的大小應相同。有筋的橡膠隔振墊在安放時,應按筋的方向交錯排放。
