簡介
附合導線是由一個已知邊出發開始測量,經過若干未知點,到達另一個已知邊,通過外業測量得出各控制點之間的距離以及觀測邊之間的夾角,內業計算出各加密點得坐標值。
附合導線的布設形式
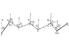
附合導線的布設形式如圖所示,導線從已知控制點B和已知方向BA出發,經過1、2、3點,最後附合到另一已知點C和已知方向CD上,這樣的導線稱為附合導線。這種布設形式,具有檢核觀測成果的作用。
附合導線平差的一般步驟
1,繪製計算草圖,在圖上填寫已知數據和測量數據。
2,角度閉合差的計算與調整。
3,按新的角值,計算各邊坐標增量。
4,坐標增量閉合差得計算與調整。
5,根據坐標增量計算坐標。
導線測量的外業工作
1.踏勘選點
在選點前,應先收集測區已有地形圖和已有高級控制點的成果資料,將控制點展繪在原有地形圖上,然後在地形圖上擬定導線布設方案,最後到野外踏勘,核對、修改、落實導線點的位置,並建立標誌。
選點時應注意下列事項:
(1)相鄰點間應相互通視良好,地勢平坦,便於測角和量距。
(2)點位應選在土質堅實,便於安置儀器和保存標誌的地方。
(3)導線點應選在視野開闊的地方,便於碎部測量
(4)導線邊長應大致相等,其平均邊長應符合表6-3所示。
(5)導線點應有足夠的密度,分布均勻,便於控制整個測區。
2.建立標誌
(1)臨時性標誌 導線點位置選定後,要在每一點位上打一個木樁,在樁頂釘一小釘,作為點的標誌,如圖6-6所示。也可在水泥地面上用紅漆劃一圓,圓內點一小點,作為臨時標誌。
(2)永久性標誌 需要長期保存的導線點應埋設混凝土樁。樁頂嵌入帶“+”字的金屬標誌,作為永久性標誌。
3.導線邊長測量
導線邊長可用鋼尺直接丈量,或用光電測距儀直接測定。
用鋼尺丈量時,選用檢定過的30m或50m的鋼尺,導線邊長應往返丈量各一次,往返丈量相對誤差應滿足表6-3的要求。
用光電測距儀測量時,要同時觀測垂直角,供傾斜改正之用。
4.轉折角測量
導線轉折角的測量一般採用測回法觀測。在附合導線中一般測左角;在閉合導線中,一般測內角;對於支導線,應分別觀測左、右角。不同等級導線的測角技術要求詳見表6-3。圖根導線,一般用DJ6經緯儀測一測回,當盤左、盤右兩半測回角值的較差不超過±40″時,取其平均值。
5.連線測量
導線與高級控制點進行連線,以取得坐標和坐標方位角的起算數據,稱為連線測量。
附合導線的內業計算
1、附合導線業內計算過程
附合導線計算圖如圖所示為一為一附合導線,它的起點1和終點n分別與高一級的控制點A、B和C、D連線,後者的坐標為已知,可按坐標反算公式計算起始邊和終了邊的方位角。
附合導線(1)角度閉合差的計算:根據兩端方向已知的特點,可由導線起始邊的方位角α和左角β,推算得出終了邊的方位角α',即
附合導線的角度閉合差為f=∑β-∑β
(2)坐標增量閉和差的計算
附合導線f=∑x-(x-x)
附合導線f=∑y-(y-y)
(3)導線邊方位角計算:可根據第一條邊的方位角和調整後的左角,推算其他各邊的方位角。
(4)計算導線點的坐標:根據起點的已知坐標及調整之後的坐標增量,逐一推求。算完最後一點,再推算起點坐標以驗核。
2、附合導線內業計算算例
如圖所示為附合導線計算例圖。
附合導線計算例圖閉合導線、附合導線、支導線
閉合導線、附和導線、支導線隨著測繪科學技術的不斷發展,電磁波測距和電子計算機技術的廣泛 套用,以導線測量的方法來建立平面控制網得到迅速推廣。導線的布設形式有下述幾種:
1、閉合導線:閉合導線是從一個已知點出發,最後仍回到這個已知點。由已知控制點1出發,經過2、3、4、5、6點最後仍閉合到1點,形成一個閉合多邊形。
2、附合導線:敷設在兩個已知點之間的導線,稱為附合導線。如圖所示,由已知點B和已知方向αAB出發,經過導線點1、2、3、4點最後附合到已知點C和已知方向αCD
3、支導線:支導線也稱自由導線,它是由一個已知點出發,既不回到原出發點又不附合到另外已知點上。如果測量發生粗差,這種導線無法檢核。因此,布設時一般不得超過二條邊。

