導線全長閉合差詳解
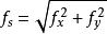
導線全長閉合差導線全長閉合差是指由導線的起點推算至終點位置與原有已知點位置的差距,其在縱、橫橫坐標軸上的投影為坐標增量閉合差f和f,按下列公式計算導線全長閉合差 ,它由測角和量距誤差引起,與導線的長度成正相關。
相關概念
導線測量
平面控制測量的一種。在地面上按一定的要求選定一系列的點(導線點),將相鄰點聯成直線而構成折線形,依次測定各折線邊(導線邊)的長度和各轉折角(導線角);根據起算數據,推算各邊的坐標方位角從而求出各導線點的坐標。導線測量和三角測量相比較,其優點是布設靈活,要求通視的方向少,邊長直接測定,精度均勻。缺點是控制面積小,缺乏有效和可靠的檢核方法。導線測量按布設形式可分為環形導線、附合導線和支導線t按精度可分為等級導線和圖根導線;按測距方法可分為視差導線、視距導線、電磁波測距導線和經緯儀導線等。
導線點
導線點導線測量中構成導線的各轉折點。通常埋設標石或設定其他標誌以標定點位。
導線角度閉合差
導線測量中觀測角值總和與幾何理論值總和之差數。用於發現測角錯誤和衡量導線的測角精度。
導線相對閉合差
導線相對閉合整導線全長閉合差與導線全長的比值。由於導線愈長,其全長閉合差也愈大,因此一般採取相對誤差的形式,用分子為1的分數表示;
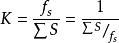
導線全長閉合差
導線全長閉合差
導線全長閉合差式中;K為導線的相對閉合差,為導線全長,為導線全長閉合差。
