性質
阿爾新藍8GS阿爾新藍8GS ,又名阿爾新藍8GX、阿利新藍8GX、紗染藍1。
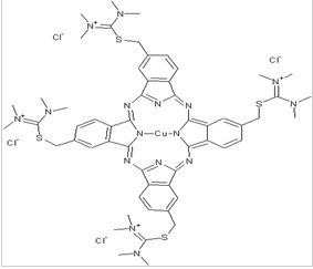
更多別名:AlcianBlue8GX[[N,N',N'',N'''-[29H,31H-Phthalocyaninetetrayltetrakis[methylenethio[(dimethylamino)methylidyne]]]tetrakis[dimethylammoniumato]](2-)-N29,N30,N31,N32]copper(4+)tetrachlorideIngrainblue1Michrome24
分子式:C56H68Cl4CuN16S4
MDL號:MFCD00010720
EINECS號:278-333-8
PubChem號:24890962
溶解性:當R為甲苯醯基(Toluyl)時,其水中溶解度約9.5%(g/g,20℃),溶液呈嫩綠藍色;無水乙醇中溶解度為6.0%,乙二醇乙醚溶解度約為6.0%,乙二醇中溶解度為3.25%,幾乎不溶於二甲苯。
存儲:室溫保存,避光、熱;保持良好通風乾燥處密封保存;避免接觸眼睛、皮膚、衣物,避免長時間或反覆暴露。
相關數據
1、疏水參數計算參考值(XlogP):無可用
2、氫鍵供體數量:0
3、氫鍵受體數量:16
4、可鏇轉化學鍵數量:16
5、拓撲分子極性表面積(TPSA):78.4
6、重原子數量:81
7、表面電荷:-4
8、複雜度:2300
9、同位素原子數量:0
10、確定原子立構中心數量:0
11、不確定原子立構中心數量:0
12、確定化學鍵立構中心數量:4
13、不確定化學鍵立構中心數量:0
14、共價鍵單元數量:6
主要用途
粘蛋白染色,細菌染色,潤滑液中作為膠凝劑。
安全性
安全標識:S26S45S24/25S36/S37/S39
危險標識:R21R35
避免吸入本品的粉塵,避免與眼睛及皮膚接觸。
