基本介紹
圖1RLC 串聯電路電阻、電感和電容串聯的電路如圖1所示。
阻抗三角形串聯後對電流的阻礙作用稱為阻抗,用字母Z表示,單位為歐姆(n)。阻抗的複數表達式為
阻抗三角形
阻抗三角形式中,X稱為電抗,單位為歐姆( )。
阻抗三角形阻抗值為
阻抗三角形
阻抗三角形
阻抗三角形式中, 三者之間符合直角三角形的關係,如圖2所示,稱其為 阻抗三角形。三角形中的 稱為阻抗角
阻抗三角形
圖2 阻抗三角形
阻抗三角形由式(4)表明:當電流的頻率一定時,電路的性質(電壓與電流的相位差 )由電路的參數R、L、C決定。
阻抗三角形
阻抗三角形
阻抗三角形
阻抗三角形
阻抗三角形(1)當X>0時,即 時,此時 ,表明電壓超前電流 角,如表1(a)所示。電感電壓 補償電容電壓 後尚有餘量,即電感的作用大於電容的作用,此時電路呈 電感性。
阻抗三角形
阻抗三角形
阻抗三角形
阻抗三角形
阻抗三角形(2)當X<0時,即 時,此時 ,表明電壓滯後電流 角。電容電壓 補償電感電壓 後尚有餘量,即電容的作用大於電感的作用,此時電路呈 電容性。
阻抗三角形
阻抗三角形(3)當X=0時,即 時,此時 ,表明電壓與電流同相,此時電路呈電阻性 。
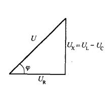
電壓三角形
阻抗三角形
阻抗三角形根據KVL定律,利用阻抗三角形,就可得出 串聯電路的各個電壓之間的關係。在表1中, 串聯,三者流過的電流相同,設電流為
阻抗三角形根據KVL定律可得
阻抗三角形對應的電流電壓有效值相量表達式為
阻抗三角形
阻抗三角形
阻抗三角形由式(4)可見,將阻抗三角形的各個邊乘以電流 就可得到 串聯的電壓關係圖,如圖3所示 。
(a)電壓相量圖 | (b)相量三角形 | (c) 電壓三角形 |
阻抗三角形
阻抗三角形
阻抗三角形表1(a)為電壓相量圖, 為電壓 與電流 之間的相位差,數值上與阻抗角相等。表1(b)為電壓相量三角形,表1(c)是電壓有效值三角形,簡稱電壓三角形,有效值之間的關係為
阻抗三角形電壓與電流有效值之間的關係為
阻抗三角形
阻抗三角形
阻抗三角形與 之間的相位差為
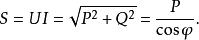
阻抗三角形功率三角形
圖3
阻抗三角形將電壓三角形的各個邊乘以電流 ,就可得到功率三角形,如圖3所示。
圖3中P為有功功率,即電阻所消耗的功率,單位是瓦[特](W),則
阻抗三角形圖3中Q為總的無功功率,是L和C串聯後與電源之間的互換功率,單位是乏(var),則
阻抗三角形上式說明L和C兩種儲能元件同時接在電路中,兩者之間可進行存儲能量之間的互換,減少了與電源之間能量的互換。
圖3中S稱為視在功率,是電源所提供的功率,單位為伏安(V·A),則
阻抗三角形
阻抗三角形圖3中的 稱為功率因數角,在數值上功率因數角、阻抗角和總電壓與電流之間的相位差,三者之間是相等的。
阻抗三角形阻抗三角形、電壓三角形和功率三角形是分析計算 串聯或其中兩種元件串聯的重要依據 。

(a)電壓相量圖
(b)相量三角形
(c) 電壓三角形 